接口广告
摩熵化学
数据开放平台 数据库官网
小程序
打开微信扫一扫
首页 分子通 化学资讯 化学百科 反应查询 关于我们
请输入关键词

氘代甲醇-d | 1455-13-6

中文名称
氘代甲醇-d
中文别名
氘代甲醇;甲醇-d1;氚代甲醇;氘代甲醇(d1);氘代甲醇-D1
英文名称
deuteromethanol
英文别名
methanol-d1;MeOD;methanol-d;deuterated methanol;deuteriooxymethane
氘代甲醇-d化学式
CAS
1455-13-6
化学式
CH4O
mdl
——
分子量
33.0342
InChiKey
OKKJLVBELUTLKV-VMNATFBRSA-N
BEILSTEIN
——
EINECS
——
  • 物化性质
  • 计算性质
  • ADMET
  • 安全信息
  • SDS
  • 制备方法与用途
  • 上下游信息
  • 反应信息
  • 文献信息
  • 表征谱图
  • 同类化合物
  • 相关功能分类
  • 相关结构分类

物化性质

  • 熔点:
    -98°C
  • 沸点:
    65.5 °C(lit.)
  • 密度:
    0.813 g/mL at 25 °C(lit.)
  • 闪点:
    52 °F
  • 溶解度:
    溶于氯仿
  • 稳定性/保质期:

    如果按照规格正确使用和储存,则不会发生分解,目前没有发现已知的危险反应。请避免与氧化剂、酸性化物、酸酐及碱属接触。

计算性质

  • 辛醇/水分配系数(LogP):
    -0.5
  • 重原子数:
    2
  • 可旋转键数:
    0
  • 环数:
    0.0
  • sp3杂化的碳原子比例:
    1.0
  • 拓扑面积:
    20.2
  • 氢给体数:
    1
  • 氢受体数:
    1

ADMET

毒理性
  • 副作用
神经毒素 - 其他中枢神经系统神经毒素
Neurotoxin - Other CNS neurotoxin
来源:Haz-Map, Information on Hazardous Chemicals and Occupational Diseases
毒理性
  • 毒性数据
LC50 (大鼠) = 64,000 ppm/4小时
LC50 (rat) = 64,000 ppm/4hr
来源:Haz-Map, Information on Hazardous Chemicals and Occupational Diseases

安全信息

  • TSCA:
    Yes
  • 危险等级:
    3
  • 危险品标志:
    F,T
  • 安全说明:
    S16,S36/37,S45,S7
  • 危险类别码:
    R23/24/25,R39/23/24/25,R11
  • WGK Germany:
    2
  • 海关编码:
    28459000
  • 危险品运输编号:
    UN 1230 3/PG 2
  • 包装等级:
    II
  • 危险标志:
    GHS02,GHS06,GHS08
  • 危险性描述:
    H225,H301 + H311 + H331,H370
  • 危险性防范说明:
    P210,P280,P302 + P352 + P312,P304 + P340 + P312,P370 + P378,P403 + P235
  • 储存条件:
    请将贮藏器保持密封状态,并存放在阴凉、干燥的地方。同时,确保工作环境中具备良好的通风或排气设施。

SDS

SDS:c82284739e45fe4bf36f634c84f91a2b
查看

模块 1. 化学
1.1 产品标识符
: 氘代甲醇-d
产品名称
1.2 鉴别的其他方法
Methyl alcohol-OD
mono-Deuteromethanol
1.3 有关的确定了的物质或混合物的用途和建议不适合的用途
仅用于研发。不作为药品、家庭或其它用途。

模块 2. 危险性概述
2.1 GHS-分类
易燃液体 (类别 2)
急性毒性, 经口 (类别 3)
急性毒性, 吸入 (类别 3)
急性毒性, 经皮 (类别 3)
皮肤刺激 (类别 2)
眼睛刺激 (类别 2A)
特异性靶器官系统毒性(一次接触) (类别 1)
2.2 GHS 标记要素,包括预防性的陈述
象形图
警示词 危险
危险申明
H225 高度易燃液体和蒸气
H301 吞咽会中毒
H311 皮肤接触会中毒
H315 造成皮肤刺激。
H319 造成严重眼刺激。
H331 吸入会中毒。
H370 对器官造成损害。
警告申明
预防措施
P210 远离热源、火花、明火和热表面。- 禁止吸烟。
P233 保持容器密闭。
P240 容器和接收设备接地。
P241 使用防爆的电气/ 通风/ 照明 设备。
P242 只能使用不产生火花的工具。
P243 采取措施,防止静电放电。
P260 不要吸入粉尘/ 烟/ 气体/ 烟雾/ 蒸汽/ 喷雾。
P264 操作后彻底清洁皮肤。
P270 使用本产品时不要进食、饮或吸烟。
P271 只能在室外或通风良好之处使用。
P280 戴防护手套/穿防护服/戴护目镜/戴面罩.
事故响应
P301 + P310 如果吞下去了: 立即呼救解毒中心或医生。
P303 + P361 + P353 如果皮肤(或头发)接触:立即除去/脱掉所有沾污的衣物,用清洗皮肤/淋
浴。
P304 + P340 如吸入: 将患者移到新鲜空气处休息,并保持呼吸舒畅的姿势。
P305 + P351 + P338 如与眼睛接触,用缓慢温和地冲洗几分钟。如戴隐形眼镜并可方便地取
出,取出隐形眼镜,然后继续冲洗.
P307 + P311 如接触到:呼叫解毒中心或医生。
P322 具体处置(见本标签上提供的急救指导)。
P330 漱口。
P332 + P313 如觉皮肤刺激:求医/就诊。
P337 + P313 如仍觉眼睛刺激:求医/就诊。
P361 立即除去/脱掉所有沾污的衣物。
P370 + P378 火灾时: 用干的砂子,干的化学品或耐醇性的泡沫来灭火。
安全储存
P403 + P233 存放于通风良的地方。 保持容器密闭。
P403 + P235 保持低温,存放于通风良好处。
P405 存放处须加锁。
废弃处置
P501 将内容物/ 容器处理到得到批准的废物处理厂。
2.3 其它危害物 - 无

模块 3. 成分/组成信息
3.1 物 质
: Methyl alcohol-OD
别名
mono-Deuteromethanol
: CDH3O
分子式
: 33.05 g/mol
分子量
组分 浓度或浓度范围
methan(2H)ol
<=100%
化学文摘登记号(CAS 1455-13-6
No.) 215-933-0
EC-编号

模块 4. 急救措施
4.1 必要的急救措施描述
一般的建议
请教医生。 向到现场的医生出示此安全技术说明书。
吸入
如果吸入,请将患者移到新鲜空气处。 如呼吸停止,进行人工呼吸。 请教医生。
皮肤接触
用肥皂和大量的冲洗。 立即将患者送往医院。 请教医生。
眼睛接触
用大量彻底冲洗至少15分钟并请教医生。
食入
禁止催吐。 切勿给失去知觉者通过口喂任何东西。 用漱口。 请教医生。
4.2 主要症状和影响,急性和迟发效应
4.3 及时的医疗处理和所需的特殊处理的说明和指示
无数据资料

模块 5. 消防措施
5.1 灭火介质
灭火方法及灭火剂
雾,抗乙醇泡沫,干粉或二氧化碳灭火。
5.2 源于此物质或混合物的特别的危害
碳氧化物
5.3 给消防员的建议
如必要的话,戴自给式呼吸器去救火。
5.4 进一步信息
喷雾冷却未打开的容器。

模块 6. 泄露应急处理
6.1 作业人员防护措施、防护装备和应急处置程序
戴呼吸罩。 避免吸入蒸气、烟雾或气体。 保证充分的通风。 移去所有火源。 人员疏散到安全区域。
谨防蒸气积累达到可爆炸的浓度。蒸气能在低洼处积聚。
6.2 环境保护措施
如能确保安全,可采取措施防止进一步的泄漏或溢出。 不要让产品进入下道。
6.3 泄漏化学品的收容、清除方法及所使用的处置材料
围堵溢出,用防电真空清洁器或湿刷子将溢出物收集起来,并放置到容器中去,根据当地规定处理(见第13部
分)。
6.4 参考其他部分
丢弃处理请参阅第13节。

模块 7. 操作处置与储存
7.1 安全操作的注意事项
避免接触皮肤和眼睛。 避免吸入蒸气和烟雾。
切勿靠近火源。-严禁烟火。采取措施防止静电积聚。
7.2 安全储存的条件,包括任何不兼容性
贮存在阴凉处。 使容器保持密闭,储存在干燥通风处。
打开了的容器必须仔细重新封口并保持竖放位置以防止泄漏。
吸湿的 充气操作和储存
7.3 特定用途
无数据资料

模块 8. 接触控制和个体防护
8.1 容许浓度
最高容许浓度
组分 化学文摘登 值 容许浓度 基准
记号(CAS
No.)
methan(2H)ol PC- 25 mg/m3 工作场所有害因素职业接触限值 -
TWA 化学有害因素
备注 皮
PC- 50 mg/m3 工作场所有害因素职业接触限值 -
STEL 化学有害因素

8.2 暴露控制
适当的技术控制
避免与皮肤、眼睛和衣服接触。 休息前和操作本品后立即洗手。
个体防护设备
眼/面保护
面罩與安全眼鏡请使用经官方标准如NIOSH (美国) 或 EN 166(欧盟) 检测与批准的设备防护眼部。
皮肤保护
戴手套取 手套在使用前必须受检查。
请使用合适的方法脱除手套(不要接触手套外部表面),避免任何皮肤部位接触此产品.
使用后请将被污染过的手套根据相关法律法规和有效的实验室规章程序谨慎处理. 请清洗并吹干双手
所选择的保护手套必须符合EU的89/686/EEC规定和从它衍生出来的EN 376标准。
完全接触
物料: 丁基橡胶
最小的层厚度 0.3 mm
溶剂渗透时间: 480 min
测试过的物质ButojECt® (KCL 897 / Z677647, 规格 M)
飞溅保护
物料: 丁二烯
最小的层厚度 0.6 mm
溶剂渗透时间: 30 min
测试过的物质Camapren® (KCL 722 / Z677493, 规格 M)
, 测试方法 EN374
如果以溶剂形式应用或与其它物质混合应用,或在不同于EN
374规定的条件下应用,请与EC批准的手套的供应商联系。
这个推荐只是建议性的,并且务必让熟悉我们客户计划使用的特定情况的工业卫生学专家评估确认才可.
这不应该解释为在提供对任何特定使用情况方法的批准.
身体保护
全套防化学试剂工作服, 阻燃防静电防护服,
防护设备的类型必须根据特定工作场所中的危险物的浓度和数量来选择。
呼吸系统防护
如危险性评测显示需要使用空气净化的防毒面具,请使用全面罩式多功能防毒面具(US)或AXBEK
型(EN
14387)防毒面具筒作为工程控制的候补。如果防毒面具是保护的唯一方式,则使用全面罩式送风防
毒面具。 呼吸器使用经过测试并通过政府标准如NIOSH(US)或CEN(EU)的呼吸器和零件。

模块 9. 理化特性
9.1 基本的理化特性的信息
a) 外观与性状
形状: 液体
b) 气味
无数据资料
c) 气味阈值
无数据资料
d) pH值
无数据资料
e) 熔点/凝固点
熔点/凝固点: -98.0 °C
f) 沸点、初沸点和沸程
65.5 °C - lit.
g) 闪点
11.0 °C - 闭杯
h) 蒸发速率
无数据资料
i) 易燃性(固体,气体)
无数据资料
j) 高的/低的燃烧性或爆炸性限度 爆炸上限: 36 %(V)
爆炸下限: 6 %(V)
k) 蒸气压
546.6 hPa 在 50.0 °C
130.3 hPa 在 20.0 °C
l) 蒸汽密度
无数据资料
m) 密度/相对密度
0.813 g/cm3 在 25 °C
n) 溶性
完全混溶
o) n-辛醇/分配系数
辛醇--的分配系数的对数值: -0.77
p) 自燃温度
无数据资料
q) 分解温度
无数据资料
r) 粘度
无数据资料

模块 10. 稳定性和反应活性
10.1 反应性
无数据资料
10.2 稳定性
无数据资料
10.3 危险反应
无数据资料
10.4 应避免的条件
热,火焰和火花。 极端温度和直接日晒。
10.5 不相容的物质
酰基, 酸酐, 氧化剂, 碱属, 还原剂, 酸
10.6 危险的分解产物
其它分解产物 - 无数据资料

模块 11. 毒理学资料
11.1 毒理学影响的信息
急性毒性
半数致死剂量 (LD50) 经口 - 大鼠 - 5,628 mg/kg
半数致死浓度(LC50) 吸入 - 大鼠 - 4 h - 64000 ppm
半数致死剂量 (LD50) 经皮 - 兔子 - 15,800 mg/kg
皮肤刺激或腐蚀
皮肤 - 兔子 - 皮肤刺激 - 24 h
眼睛刺激或腐蚀
眼睛 - 兔子 - 眼睛刺激 - 24 h
呼吸道或皮肤过敏
无数据资料
生殖细胞致突变性
致癌性
IARC:
此产品中没有大于或等于 0。1%含量的组分被 IARC鉴别为可能的或肯定的人类致癌物。
生殖毒性
特异性靶器官系统毒性(一次接触)
对器官造成损害。
特异性靶器官系统毒性(反复接触)
无数据资料
吸入危险
无数据资料
潜在的健康影响
吸入 吸入会中毒。 引起呼吸道刺激。
摄入 误吞会中毒。
皮肤 如果被皮肤吸收会有毒性 造成皮肤刺激。
眼睛 造成严重眼刺激。
附加说明
化学物质毒性作用登记: 无数据资料

模块 12. 生态学资料
12.1 生态毒性
对鱼类的毒性 半数致死浓度(LC50) - 虹鳟 (红鳟鱼) - 19,000.00 mg/l - 96 h
半数致死浓度(LC50) - 鲫属 (鲤鱼) - 36,000.00 mg/l - 48 h
蚤和其他生无脊 半数效应浓度(EC50) - 大型蚤 (蚤) - 24,500.00 mg/l - 48 h
椎动物的毒性
100% 效应浓度(EC100) - 大型蚤 (蚤) - 10,000.00 mg/l - 24 h
12.2 持久性和降解性
无数据资料
12.3 潜在的生物累积性
无数据资料
12.4 土壤中的迁移性
无数据资料
12.5 PBT 和 vPvB的结果评价
无数据资料
12.6 其它不良影响
无数据资料

模块 13. 废弃处置
13.1 废物处理方法
产品
在装备有加力燃烧室和洗刷设备的化学焚烧炉内燃烧处理,特别在点燃的时候要注意,因为此物质是高度易燃
性物质 将剩余的和不可回收的溶液交给有许可证的公司处理。
受污染的容器和包装
按未用产品处置。

模块 14. 运输信息
14.1 联合国危险货物编号
欧洲陆运危规: 1230 国际海运危规: 1230 国际空运危规: 1230
14.2 联合国运输名称
欧洲陆运危规: METHANOL (methan(2H)ol, 2-Propanol-1,1,1,3,3,3-d6)
国际海运危规: METHANOL (methan(2H)ol, 2-Propanol-1,1,1,3,3,3-d6)
国际空运危规: Methanol (methan(2H)ol, 2-Propanol-1,1,1,3,3,3-d6)
14.3 运输危险类别
欧洲陆运危规: 3 (6.1) 国际海运危规: 3 (6.1) 国际空运危规: 3 (6.1)
14.4 包裹组
欧洲陆运危规: II 国际海运危规: II 国际空运危规: II
14.5 环境危险
欧洲陆运危规: 否 国际海运危规 国际空运危规: 否
海洋污染物(是/否): 否
14.6 对使用者的特别提醒
无数据资料


模块 15 - 法规信息
N/A


模块16 - 其他信息
N/A

制备方法与用途

氘代试剂

氘代甲醇是一种重要的化学原料和代药物中间体。在化学合成中,它常用作核磁共振氢谱检测试剂,并广泛应用于实验研究工作。近年来,由于代药物成为药物研究的热点领域,氘代甲醇也在代药物的研究中得到了广泛应用。目前,许多代药物正在进行临床研究,包括氘代丁苯那嗪文拉法新托法替尼替卡格雷吡非尼酮帕罗西汀阿扎那韦等。

应用领域

氘代甲醇主要用作核磁共振试剂,广泛应用于制药和合成、光电材料改性、实验室专用试剂、化学品以及科研与检测等领域。作为甲基醇的标记类似物,它是一种常见的实验室溶剂,并主要用于光谱技术(如UV/VIS、NMR、IR)。

上下游信息

  • 下游产品
    中文名称 英文名称 CAS号 化学式 分子量

反应信息

  • 作为反应物:
    描述:
    氘代甲醇-d氘代甲醇-d 为溶剂, 生成
    参考文献:
    名称:
    The Mechanism of the Photocatalytic Dehydrogenation of Methanol
    摘要:
    我们研究了 Pt/TiO2 光催化甲醇脱氢的机理。在 CH3OD 和 CH3OH 混合样品中,仅从 CH3OD 中进化出了 D2,而在进化气体中检测到了 D2、HD 和 H2。这些结果表明,进化出的氢来自甲醇的羟基氢原子。通过比较 H2、HD 和 D2 的进化速率,讨论了决定速率的步骤。
    DOI:
    10.1246/cl.1987.779
  • 作为产物:
    描述:
    参考文献:
    名称:
    Mozingo; Folkers, Chemistry of Penicillin
    摘要:
    DOI:
  • 作为试剂:
    描述:
    参考文献:
    名称:
    一种嘧啶并芳环化合物及其制备方法和用途
    摘要:
    本公开提供了一种式I'所示结构的嘧啶并芳环化合物及其制备方法和用途,该类化合物对KRAS和PI3K蛋白活性具有明显的抑制作用,可作为KRAS和/或PI3K蛋白抑制剂,用于制备治疗由KRAS和/或PI3K蛋白介导的癌症等疾病的药物,且本公开化合物对于KRAS G12D抑制剂耐药癌细胞具有极强的抑制作用,具有广阔的应用前景。
    公开号:
    WO2024109233A1
点击查看最新优质反应信息

文献信息

  • Stabilized and Destabilized Carbocations in the 1,6-Methano[10]annulene Series
    作者:Xavier Creary、Kevin Miller
    DOI:10.1021/jo035006w
    日期:2003.10.1
    2-Chloromethyl and 3-chloromethyl-1,6-methano[10]annulene systems solvolyze in methanol to give simple substitution products. Solvent effect studies and the special salt effect support the involvement of cationic intermediates stabilized by the 1,6-methano[10]annulene group. Rate data indicate that the degree of cation stabilization greatly exceeds that of naphthyl groups. B3LYP/6-31G computational
    2-甲基和3-甲基-1,6-甲基[10]环戊烯系统在甲醇中溶剂分解,得到简单的取代产物。溶剂效应研究和特殊的盐效应支持了由1,6-甲基[10]环戊烯基稳定的阳离子中间体的参与。速率数据表明,阳离子稳定度大大超过了基。B3LYP / 6-31G的计算研究还表明,阳离子中间体被1,6-甲基[10]环戊烯稳定。与这些发现相反,溶剂分解和计算研究表明11-(1,6-甲基[10]环戊烯基)阳离子是环庚三烯基阳离子的失稳类似物。与环环没有有利的相互作用。
  • Study of Precatalyst Degradation Leading to the Discovery of a New Ru<sup>0</sup> Precatalyst for Hydrogenation and Dehydrogenation
    作者:Aviel Anaby、Mathias Schelwies、Jonas Schwaben、Frank Rominger、A. Stephen K. Hashmi、Thomas Schaub
    DOI:10.1021/acs.organomet.8b00353
    日期:2018.7.9
    The complex Ru-MACHO (1) is a widely used precatalyst for hydrogenation and dehydrogenation reactions under basic conditions. In an attempt to identify the active catalyst form, 1 was reacted with a strong base. The formation of previously unreported species was observed by NMR and mass spectrometry. This observation indicated that complex 1 quickly degraded under basic conditions when no substrate
    复杂的Ru-MACHO(1)是在碱性条件下用于氢化和脱氢反应的广泛使用的预催化剂。为了鉴定活性催化剂的形式,使1与强碱反应。通过NMR和质谱观察到先前未报告的物质的形成。该观察结果表明,在不存在底物的情况下,复合物1在碱性条件下迅速降解。X射线晶体学使得能够鉴定三种复合物作为复合物1的这种降解的产物。这些复合物提示了降解途径,包括配体裂解和重组以及原子的还原。分解产物之一,Ru 0分别制备并研究了配合物[Ru(N(CH 2 CH 2 PPh 2)3)CO](5)。发现5在脂族醇的无受体脱氢为酯中是活性的,完全不含添加剂。还证明了在无碱条件下用甲醇作为添加剂对5催化的酯的氢化作用。质子基材显示出可逆地添加到复合5,产生的Ru II -hydrido物种,由此呈现可逆氧化加成的一个罕见的例子选自Ru 0至II和还原消除选自Ru II茹0。
  • Mechanism of Formation of Organic Carbonates from Aliphatic Alcohols and Carbon Dioxide under Mild Conditions Promoted by Carbodiimides. DFT Calculation and Experimental Study
    作者:Michele Aresta、Angela Dibenedetto、Elisabetta Fracchiolla、Potenzo Giannoccaro、Carlo Pastore、Imre Pápai、Gábor Schubert
    DOI:10.1021/jo050392y
    日期:2005.8.1
    into a carbamate and a secondary amine, while in the presence of CO2, the dialkyl carbonate, (RO)2CO, is formed together with urea [CyHN−CO−NHCy]. The reaction has been tested with various aliphatic alcohols such as methanol, ethanol, and allyl alcohol. It results in being a convenient route to the synthesis of diallyl carbonate, in particular. O-Methyl-N,N‘-dicyclohexyl isourea also reacts with phenol
    二环己基(CYN Ç NCY,DCC)促进在温度低至310 K和CO的中等压力容易形成从脂族醇与二氧化碳有机碳酸酯2(0.1兆帕)以可接受的速率。DCC的转化率是定量的,在330 K下,该反应对碳酸盐的选择性很高。升高温度可提高转化率,但会降低选择性。一项详细的研究使我们能够分离或鉴定在有或没有二氧化碳的情况下,醇与DCC反应形成的中间体。第一步是将醇添加到异丙苯中(已知反应)并形成O-烷基异[RHNC(OR')NR],其可以通过H键与第二个醇分子相互作用(到目前为止尚未描述过该反应)。这样的加合物可以通过NMR检测。在醇中,不存在CO 2时,会转化为氨基甲酸酯和仲胺,而在存在CO 2时,碳酸二烷基酯(RO)2 CO与尿素[CyHN-CO-NHCy]一起形成。已经用各种脂族醇如甲醇乙醇烯丙醇测试了该反应。尤其是,这是合成碳酸二烯丙酯的便利途径。O-甲基-N,N'-二环己基异也可在CO
  • Chemo- and regioselective nucleophilic hydrofunctionalization of unactivated aliphatic alkenes under transition-metal-free catalysts
    作者:Ying Zhan、Yao Zhao、Qiang Du、Jiacheng Rui、Rizhi Chen、Xintao Zheng、Xiaojin Wu
    DOI:10.1039/d1gc00474c
    日期:——
    Transition-metal-free-catalyzed nucleophilic hydrofunctionalization of both terminal and internal unactivated aliphatic alkenes has been described for the first time. Most topical classes of carbon, nitrogen and oxygen nucleophiles are well-compatible. The highly chemoselective unprotected dinucleophiles are also presented in the atom-economical approach. More than 80 structurally complex β-hetero-substituted
    首次描述了末端和内部未活化脂族烯烃的无过渡属催化的亲核加氢官能化。大多数局部类别的碳,氮和氧亲核试剂具有很好的相容性。高度经济选择性的未保护的二亲核试剂也以原子经济的方法提供。迅速合成了80多种结构复杂的β-杂取代脂肪族酰胺,并具有独特的马尔科夫尼科夫选择性,由于共轭酰胺的固有固有亲电性差,很难通过传统的迈克尔加成共轭酰胺有效地实现。
  • Solvent deuterium kinetic isotope effects for the methanolyses of neutral CO, PO and PS esters catalyzed by a triazacyclododecane : Zn2+-methoxide complex
    作者:Chris Maxwell、Alexei A. Neverov、R. Stan Brown
    DOI:10.1039/b512378j
    日期:——
    organophosphate/phosphonate/phosphorothioate esters (O,O-diethyl O-(4-nitrophenyl) phosphate, paraoxon, ; O,O-diethyl S-(3,5-dichlorophenyl) phosphorothioate, ; O-ethyl O-(2-nitro-4-chlorophenyl) methylphosphonate, ; O,O-dimethyl O-(3-methyl-4-nitrophenyl) phosphorothioate, fenitrothion, ; O-ethyl S-(3,5-dichlorophenyl) methylphosphonothioate ) and a carboxylate ester (p-nitrophenyl acetate, ) catalyzed by
    反向的k(D)/ k(H)值与直接亲核甲醇盐攻击有关,后者涉及亲核试剂的去溶剂化以及TS溶解程度不同。使用Zn(2 +)((-)OCH(3))络合物时,所有天空值均为k(D)/ k(H)= 1.0 +/- 0.1,除非该值为0.79 +/- 0.06。提出了与复合物相关的分馏因子:Zn(2 +)((-)OCH(3))与单位的区别。所有复合物催化的甲醇酶的天空都被解释为与平衡前属:底物复合物中Zn(2+)配位的甲醇盐的分子内亲核攻击相一致。1,除了值是0.79 +/- 0.06之外。提出了与复合物相关的分馏因子:Zn(2 +)((-)OCH(3))与单位的区别。所有复合物催化的甲醇酶的天空都被解释为与平衡前属:底物复合物中Zn(2+)配位的甲醇盐的分子内亲核攻击相一致。1,除了值是0.79 +/- 0.06之外。提出了与复合物相关的分馏因子:Zn(2 +)((-)OCH(3))与单位的区
查看更多

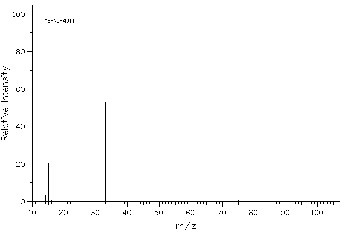
表征谱图

  • 氢谱
    1HNMR
  • 质谱
    MS
  • 碳谱
    13CNMR
  • 红外
    IR
  • 拉曼
    Raman
hnmr
mass
cnmr
ir
raman
  • 峰位数据
  • 峰位匹配
  • 表征信息
Shift(ppm)
Intensity
查看更多图谱数据,请前往“摩熵化学”平台
Assign
Shift(ppm)
查看更多图谱数据,请前往“摩熵化学”平台
测试频率
样品用量
溶剂
溶剂用量
查看更多图谱数据,请前往“摩熵化学”平台