接口广告
摩熵化学
数据开放平台 数据库官网
小程序
打开微信扫一扫
首页 分子通 化学资讯 化学百科 反应查询 关于我们
请输入关键词

砷化氢 | 127323-69-7

中文名称
砷化氢
中文别名
三氢化砷;砷烷
英文名称
arsenic
英文别名
Arsenium;arsenite;As;arsane
砷化氢化学式
CAS
127323-69-7;7784-42-1
化学式
As
mdl
——
分子量
74.9216
InChiKey
RBFQJDQYXXHULB-UHFFFAOYSA-N
BEILSTEIN
——
EINECS
——
  • 物化性质
  • 计算性质
  • ADMET
  • 安全信息
  • SDS
  • 制备方法与用途
  • 上下游信息
  • 反应信息
  • 文献信息
  • 表征谱图
  • 同类化合物
  • 相关功能分类
  • 相关结构分类

物化性质

  • 物理描述:
    Arsine appears as a colorless gas with a disagreeable garlic odor. Flammable. Heavier than air. Flame easily flashes back to the source of leak. Extremely toxic by inhalation; has been used as a military poison gas. Confirmed human carcinogen. Under prolonged exposure to fire or heat containers may rupture violently and rocket. Rate of onset: Immediate to 24 hours Persistence: Minutes to hours Odor threshold: 0.5 ppm Source/use/other hazard: Used in electronics industry; reacts with H20 (don't use H2O in fire).
  • 颜色/状态:
    Colorless gas
  • 气味:
    Disagreeable garlic odor
  • 沸点:
    -62.5 °C
  • 熔点:
    -116 °C
  • 闪点:
    Flammable gas
  • 溶解度:
    In water, 28 mg/100 mL at 20 °C
  • 密度:
    1.689 at 185 °F (EPA, 1998)
  • 蒸汽密度:
    2.66 to 2.695 (EPA, 1998) (Relative to Air)
  • 蒸汽压力:
    11,000 mm Hg at 20 °C
  • 稳定性/保质期:

    On exposure to light, moist arsine decomposes quickly depositing shiny black arsenic

  • 分解:
    Decomposition point: 300 °C
  • 粘度:
    Viscosity of the gas at 101.325 kPa at 0 °C: 0.01458 mPaXs, 0.01458 mNXs/sq m
  • 汽化热:
    16.69 kJ/mol
  • 电离电位:
    9.89 eV
  • 气味阈值:
    The odor cannot always be relied upon for detection of the gas even though it often has an offensive smell resembling that of onions or carbide, which should arouse suspicion.

计算性质

  • 辛醇/水分配系数(LogP):
    -1.18
  • 重原子数:
    1
  • 可旋转键数:
    0
  • 环数:
    0.0
  • sp3杂化的碳原子比例:
    0.0
  • 拓扑面积:
    0
  • 氢给体数:
    0
  • 氢受体数:
    0

ADMET

代谢
... 吸入砒素并将其转化为As(III)后,的新陈代谢包括甲基化,尿液排泄遵循一个三阶段模型,分别持续28小时、59小时和9天。
... Following inhalation of arsine and conversion to As(III), arsenic metabolism included methylation, and urinary excretion followed a triphasic model with periods of 28 hours, 59 hours, and 9 days.
来源:Hazardous Substances Data Bank (HSDB)
毒理性
  • 毒性总结
识别:砷化氢是一种无色、极易燃的气体,具有大蒜的气味。这种气体比空气重,会在靠近地面的地方积聚,这使得在火焰或火花的存在下,远距离点火成为可能。砷化氢在半导体工业中广泛用于外延生长、作为基固态电子设备的掺杂剂以及发光二极管的制造。人类暴露:在人类中,砷化氢通过肺部和呼吸道粘膜表面被吸收。暴露后,砷化氢在血液中的浓度迅速上升,而分布到肝脏、肾脏和其他器官的速度则要慢得多。在人类中,砷化氢被代谢为三价和五价。三价被甲基化为单甲基砷酸和二甲基砷酸盐砷化氢的代谢物主要通过尿液排出。砷化氢在人类中诱导溶血,增加血浆血红蛋白、的浓度,进而导致贫血和肾脏损伤。目前没有可靠的信息关于这些效果发生的暴露平。心肌和肺衰竭是其他死亡原因。严重肝损伤很少见。观察到贫血,伴有亨斯-埃里希体和白细胞增多。尿液中发现了血红蛋白、含血黄素、红细胞、蛋白质和管型。目前没有关于砷化氢在人类中的致癌性或致突变性的数据。动物研究:在动物中,砷化氢通过肺部和呼吸道被吸收。在暴露于砷化氢的动物中,砷化氢在血液中的浓度迅速上升,而分布到肝脏、肾脏和肺以及其他器官的速度则要慢得多。在动物中,砷化氢被代谢为三价和五价。三价被甲基化为单甲基砷酸和二甲基砷酸盐。这些代谢物主要通过尿液排出。砷化氢在不同物种中的急性毒性很高。小鼠吸入砷化氢导致相对脾重增加和血细胞比容降低。观察到的组织病理学变化包括脾脏的含血黄素沉着和髓外造血活动。反复暴露于砷化氢导致大鼠、小鼠和叙利亚仓鼠持续脾肿大和轻微抑制骨髓红细胞前体。在一项研究中,砷化氢没有在小鼠或大鼠中诱导发育毒性。目前没有关于砷化氢在动物中的致癌性或致突变性的数据。
IDENTIFICATION: Arsine is a colorless, extremely flammable gas with a garlic odor. The gas is heavier than air and accumulates close to the surface, which makes distant ignition possible in the presence of flame or spark. Arsine is extensively used in the semiconductor industry for epitaxial growth of gallium arsenide, as a doping agent for silicon based solid state electronic devices and the manufacture of light emitting diodes. HUMAN EXPOSURE: In humans arsine is absorbed via the lungs and mucosal surface of the respiratory tract. After exposure, the concentration of arsine increases rapidly in blood, whereas the distribution to the liver, kidneys and other organs is much slower. In humans, arsine is metabolized to trivalent and pentavalent arsenic. Trivalent arsenic is methylated to monomethylarsonate and dimethylarsinate. Arsine metabolites are mainly excreted via urine. Arsine in humans induces hemolysis with an increase in plasma hemoglobin, iron and potassium and subsequent anemia and kidney damage. No reliable information is available on exposure levels at which these effects occur. Myocardial and pulmonary failures are other causes of death. Severe liver lesions are rare. Anemia is observed accompanied by Heinz-Ehrlich corpuscles and increased leukocytosis. Hemoglobin, hemosiderin, erythrocytes, proteins and casts, found in urine. There are no data on the carcinogenicity or mutagenicity of arsine in humans. ANIMAL STUDIES: In animals, arsine is absorbed via the lungs and respiratory tract. In animals exposed to arsine, the concentration of arsine increases rapidly in blood, whereas distribution to liver, kidneys and lungs and other organs is much slower. In animals, arsine is metabolized to trivalent and pentavalent arsenic. Trivalent arsenic is methylated to monomethylarsonate and dimethylarsinate. These metabolites are mainly excreted via urine. The acute toxicity of arsine in different species is high. Inhalation of arsine by mice caused an increase in the relative spleen weight and a decrease in hematocrit. Histopathological changes observed included hemosiderosis and extramedullary hematopoietic activity in the spleen. Repeated exposure to arsine caused persistent splenomegaly and slight suppression of bone marrow erythroid precursors in rats, mice and Syrian Golden hamsters. Methemoglobinemia was noted in mice. In one study arsine did not induce developmental toxicity in mice or rats. There are no data on the carcinogenicity or mutagenicity in animals.
来源:Hazardous Substances Data Bank (HSDB)
毒理性
  • 致癌性证据
致癌性分类:1)人类证据:充分;2)动物证据:有限。对人类致癌风险的总体评估为第1组:对人类致癌。注意:此评估适用于整个化学物质组,而不一定适用于组内所有单个化学物质。/化合物/
Classification of carcinogenicity: 1) evidence in humans: sufficient; 2) evidence in animals: limited. Overall summary evaluation of carcinogenic risk to humans is Group 1: Carcinogenic to humans. NOTE: This evaluation applies to the group of chemicals as a whole and not necessarily to all individual chemicals within the group. /Arsenic and arsenic compounds/
来源:Hazardous Substances Data Bank (HSDB)
毒理性
  • 致癌性证据
分类:A;人类致癌物。分类依据:基于足够的人类数据。在主要通过吸入暴露的多个人类群体中观察到了肺癌死亡率的增加。此外,在饮用富含无机的饮用的人群中,观察到多种内部器官癌症(肝脏、肾脏、肺和膀胱)的死亡率增加,以及皮肤癌发病率的增加。人类致癌性数据:充足。动物致癌性数据:不足。/无机/ /基于先前的分类系统/
CLASSIFICATION: A; human carcinogen. BASIS FOR CLASSIFICATION: Based on sufficient evidence from human data. An increased lung cancer mortality was observed in multiple human populations exposed primarily through inhalation. Also, increased mortality from multiple internal organ cancers (liver, kidney, lung, and bladder) and an increased incidence of skin cancer were observed in populations consuming drinking water high in inorganic arsenic. HUMAN CARCINOGENICITY DATA: Sufficient. ANIMAL CARCINOGENICITY DATA: Inadequate. /Inorganic Arsenic/ /based on former classification system/
来源:Hazardous Substances Data Bank (HSDB)
毒理性
  • 暴露途径
该物质可以通过吸入被身体吸收。
The substance can be absorbed into the body by inhalation.
来源:ILO-WHO International Chemical Safety Cards (ICSCs)
毒理性
  • 暴露途径
吸入,皮肤和/或眼睛接触(液体)
inhalation, skin and/or eye contact (liquid)
来源:The National Institute for Occupational Safety and Health (NIOSH)
吸收、分配和排泄
...关于砷化氢的吸收、分布或代谢的研究很少。然而,一项人体研究提供了一些信息。研究者们研究了一名急性砷化氢中毒的工人。在接触后的第二天早晨,该工人排出了深红色的尿液,并在接下来的三天里逐渐好转,期间接受了住院和血液透析治疗。从接触后20小时开始,每天采集血液样本和24小时尿液样本,在接下来的24天内持续收集。在此期间,排出的总量为41毫克。排出的种类包括单甲基砷酸盐MMA)约16毫克、二甲基砷酸盐DMA)约13毫克和As(III) 8毫克。还检测到少量的砷甜菜碱,但在后续研究中认为这可能是来自饮食。
... Few studies of arsine absorption, distribution, or metabolism /were available/. One human study, however, provides some information. /Investigators/ studied a worker with acute arsine intoxication. The worker excreted dark red urine the morning following exposure and was hospitalized and hemodialyzed on the 3 successive days with gradual improvement. Daily blood samples and 24-hour urine samples were begun 20 hours after exposure and were collected during the subsequent 24 days. During this period, the amount of arsenic excreted was 41 mg. The species of arsenic excreted were monomethylarsonate (MMA) (about 16 mg), dimethylarsinate (DMA) (about 13 mg), and As(III) (8 mg). A much smaller amount of arsenobetaine was also detected, but in subsequent studies, this was thought to have been derived from diet.
来源:Hazardous Substances Data Bank (HSDB)
吸收、分配和排泄
实际上,几乎所有有毒化合物都可能通过消化道被吸收。蒸气,尤其是胂化氢和乙胂化氢,会通过肺泡扩散。
Practically all arsenic compounds which are toxic may be absorbed from ... Alimentary tract. The vapors, particularly arsine & ethyl arsine diffuse through the pulmonary sac.
来源:Hazardous Substances Data Bank (HSDB)
吸收、分配和排泄
在提取黄过程中,9名男子接触了不确定量的砷化氢数月,他们的尿液中砒霜含量从0.3-3.3毫克/升(0.37-4.3毫克的砒霜As2O3))。9名男子中有7人的尿砒霜排泄量最高,从1.0-3.3毫克/升砒霜不等,平均为2毫克/升。三个月后,1人的排泄量略高于1毫克/升;一人0.4毫克/升...
/Among 9 men exposed several months to undetermined amounts of arsine in extraction of gold/ arsine content of urine ranged from 0.3-3.3 mg/L (0.37-4.3 mg of arsenic trioxide (As2O3)). Max arsenic excretions in urine of 7/9 men ranged from 1.0-3.3 mg of As/L, with an average of 2 mg/L. Three months later 1 man ... excreting slightly above 1 mg/L; one 0.4 mg/L ...
来源:Hazardous Substances Data Bank (HSDB)
吸收、分配和排泄
由于在尿液中相对自由地排出,...中毒工人的尿液中发现的平可能是由于吸入低于1毫克/立方米或0.31 ppm的浓度造成的。
Since arsenic appears to be excreted rather freely in urine, ...levels found in urine of intoxicated workers could have resulted from inhalation of concentrations below 1 mg/cu m or 0.31 ppm.
来源:Hazardous Substances Data Bank (HSDB)
吸收、分配和排泄
大约60%的胂化氢通过吸入0.025-2.5 mg/L的浓度被小鼠吸收。在兔子上,最高浓度出现在肝脏、肺和肾脏中。
About 60% of arsine gas is absorbed by mice exposed to 0.025-2.5 mg/L by inhalation. In rabbits, highest concentrations were found in liver, lung and kidneys.
来源:Hazardous Substances Data Bank (HSDB)

上下游信息

  • 上游原料
    中文名称 英文名称 CAS号 化学式 分子量
    • 1
    • 2
  • 下游产品
    中文名称 英文名称 CAS号 化学式 分子量
    • 1
    • 2

反应信息

  • 作为反应物:
    描述:
    砷化氢 在 cerium (IV) sulfate 作用下, 以 硫酸 为溶剂, 以>99的产率得到砷酸、原砷酸
    参考文献:
    名称:
    Cerimetric determination of small amounts of arsenic
    摘要:
    DOI:
    10.1021/ac50143a029
  • 作为产物:
    描述:
    三溴化砷 在 AlBr3 作用下, 以 1,2-二溴乙烷 为溶剂, 生成 砷化氢
    参考文献:
    名称:
    Gmelin Handbuch der Anorganischen Chemie, Gmelin Handbook: As: MVol., 45, page 168 - 170
    摘要:
    DOI:
  • 作为试剂:
    描述:
    参考文献:
    名称:
    双(三氟甲基)氮氧化物:一种新颖的合成方法和一些反应
    摘要:
    DOI:
    10.1039/c19680001320
点击查看最新优质反应信息

文献信息

  • Preparation of REFeAsO1−F (RE=Sm and Gd) superconductors at a relatively low temperature
    作者:Y.J. Cui、Y.L. Chen、C.H. Cheng、Y. Yang、Y.Z. Wang、Y.C Li、Y. Zhao
    DOI:10.1016/j.jpcs.2010.10.041
    日期:2011.5
    relatively low temperature. The samples have been sintered at 1100 and 1120 °C for SmFeAsO 1− x F x and GdFeAsO 1− x F x , respectively. These temperatures are at least 50–60° lower than other previous reports. All of the so-prepared samples possess a tetragonal ZrCuSiAs-type structure. Dramatically supression of the lattice parameters and increase in T c proved that this low temperature process was
    摘要 以纳米级 ReF 3 作为资源,在相对较低的温度下制备了一系列 SmFeAsO 1− x F x 和 GdFeAsO 1− x F x ( x =0.05, 0.1, 0.15, 0.2, 0.25) 样品. SmFeAsO 1− x F x 和 GdFeAsO 1− x F x 分别在 1100 和 1120 °C 下烧结样品。这些温度至少比之前的其他报告低 50–60°。所有如此制备的样品都具有四方 ZrCuSiAs 型结构。晶格参数的显着抑制和 T c 的增加证明这种低温过程更有效地将引入稀土 FeAsO 中。SmFeAsO 1− x F x 的超导转变出现在 39.5 K 处,x =0.05,而 GdFeAsO 1− x F x 出现在 22 K 处,x =0.1。检测到的最高 T c 在 SmFeAsO 0.8 F 0.2 中为 54 K,在 GdFeAsO 0.75 F
  • Symmetry-Breaking Transitions in SmCu1+δAs2—χPχ(δ = 0 — 0.2, χ = 0 — 2). Effect of P and Additional Cu Atoms on Crystal Structures and Magnetic Properties
    作者:Yurij Mozharivskyj、Alexandra O. Pecharsky、Sergej Bud'ko、Hugo F. Franzen
    DOI:10.1002/1521-3749(200207)628:7<1619::aid-zaac1619>3.0.co;2-8
    日期:2002.7
    Symmetrieerniedrigende Phasenumwandlungen in SmCu1+δAs2—χPχ(δ = 0 — 0.2, χ = 0 — 2). Der Einflus von P- und zusatzlichen Cu-Atomen auf die Kristallstrukturen und magnetische Eigenschaften Die Kristallstrukturen der Verbindungen SmCu1+δAs2—χPχ (δ = 0 — 0, 2, χ = 0 — 2), die symmetrieerniedrigende Phasenumwandlungen eingehen, und von SmCuP2, 3 wurden durch Rontgen-Einkristall- und -Pulver-Methoden untersucht
    已经通过X射线单晶和粉末方法研究了化合物SmCu1+δAs2-χPχ (δ = 0 — 0.2, χ = 0 — 2)和SmCuP2.3的对称破坏跃迁的晶体结构。SmCuAs2 至 SmCuAs1.22P0.78 相保留四方 HfCuSi2 结构(P4/nmm 空间群),而化合物 SmCuAs1.11P0.89 至 SmCuAs0.56P1.44 采用 GdCuAs1.15P0.85 型结构(Pmmn 空间群) ),HfCuSi2 型的正交变体。在 SmCuAs0.33P1.67 到 SmCuP2.3 中出现进一步变形,其粉末图案在 P2/n 空间群(标准设置中的 P2/c)中索引。根据朗道理论,从四方 SmCuAs1.22P0.78 到正交 SmCuAs1.11P0.89 和从正交 SmCuAs0.56P1.44 到单斜 SmCuAs0.33P1.67 的转变可以是连续的。将额外的引入一些正交化物中,可以使四方相
  • Magnetic and transport anomalies in the compounds, RCuAs2 (R=Pr, Nd, Sm, Gd, Tb, Dy, Ho, and Er)
    作者:Kausik Sengupta、S. Rayaprol、E.V. Sampathkumaran、Th. Doert、J.P.F. Jemetio
    DOI:10.1016/j.physb.2004.01.152
    日期:2004.5
    magnetoresistance measurements are reported in detail for the compounds, RCuAs2 for R=Pr, Nd, Sm, Gd, Tb, Dy, Ho, and Er, crystallizing in HfCuSi2-type tetragonal structure, with the aim of bringing out anomalies among ‘normal’ (that is, other than Ce and Yb) rare-earths. The results establish that all these compounds order antiferromagnetically at low temperatures with deviations from de Gennes scaling. Isothermal
    摘要 详细报道了在 HfCuSi2 中结晶的化合物 R=Pr、Nd、Sm、Gd、Tb、Dy、Ho 和 Er 的直流磁化强度、热容量、电阻率 (ρ) 和磁阻测量结果-型四方结构,目的是在“正常”(即除 Ce 和 Yb 之外)稀土中发现异常。结果表明,所有这些化合物在低温下都是反磁有序的,与德热内斯标度存在偏差。低于各自 Neel 温度 (TN) 的等温磁化 (M) 数据揭示了大多数化合物(除了 R = Sm 和 Gd)存在场诱导的类超磁性跃迁,而在 Sm 和 Gd 化合物中,M 基本上随磁性线性变化场地。关于 ρ 行为,一方面,在 Sm 和其他方面,超过 50 K 的温度依赖性似乎存在细微差别。此外,对于 R=Ho 和 Er,对于 R=Sm、Gd、Tb 和 Dy 在顺磁状态(大约 20-30 K )最近报道的意外 ρ(T) 最小值基本上不存在。总体结果表明,该系列中的普通稀土在磁性方面呈现
  • Lattice distortions in layered type arsenides LnTAs2 (Ln=La–Nd, Sm, Gd, Tb; T=Ag, Au): Crystal structures, electronic and magnetic properties
    作者:D. Rutzinger、C. Bartsch、M. Doerr、H. Rosner、V. Neu、Th. Doert、M. Ruck
    DOI:10.1016/j.jssc.2009.12.021
    日期:2010.3
    The lanthanide coinage-metal diarsenides LnTAs2 (Ln=La, Ce–Nd, Sm; T=Ag, Au) have been reinvestigated and their structures have been refined from single crystal X-ray data. Two different distortion variants of the HfCuSi2 type are found: PrAgAs2, NdAgAs2, SmAgAs2, GdAgAs2, TbAgAs2, NdAuAs2 and SmAuAs2 crystallize as twofold superstructures in space group Pmcn with the As atoms of their planar layers
    系元素造币属二砷化物LnT As 2(Ln = La,Ce–Nd,Sm;T = Ag,Au)已被重新研究,其结构已从单晶X射线数据中得到了完善。发现了HfCuSi 2类型的两个不同的变形变体:PrAgAs 2,NdAgAs 2,SmAgAs 2,GdAgAs 2,TbAgAs 2,NdAuAs 2和SmAuAs 2在空间群Pmcn中结晶为双重超结构,其平面层的As原子形成之字形链,而LaAgAs 2,CeAgAs 2PrAuAs 2和PrAuAs 2具有带有As原子顺反链的四重超结构(空间群Pmca)。各个原子的位置可以通过HfCuSi 2类型通过族-亚族关系推导。带有As原子之字形链的化合物表现出属性能,而具有顺式-反式链的化合物则是半导电的,这在粉末颗粒上测得。包括4 f个元素的大多数化合物在T N <20 K时显示反磁有序性。
  • New arsenides LnAgAs2 (Ln=La, Ce, Pr, Nd, Sm, Gd, Tb, Dy) and their crystal structure
    作者:R.O. Demchyna、Yu.B. Kuz’ma、V.S. Babizhetsky
    DOI:10.1016/s0925-8388(00)01273-1
    日期:2001.2
    LnAgAs2 (Ln=La, Ce, Pr, Nd, Sm, Gd, Tb, Dy) have been obtained by sintering of pure components. LaAgAs2 and CeAgAs2 exhibit the tetragonal HfCuSi2 type structure with space group P4/nmm. The crystal structure of CeAgAs2 has been refined using X-ray powder diffraction data (a=4.0777(2) A, c=10.5262 A, R=0.078). The LnAgAs2 (Ln=Pr, Nd, Sm, Gd, Tb, Dy) compounds possess a crystal structure of a new type
    摘要 通过纯组分烧结获得了新型化物LnAgAs2(Ln=La、Ce、Pr、Nd、Sm、Gd、Tb、Dy)。LaAgAs2 和 CeAgAs2 表现出空间群为 P4/nmm 的四方 HfCuSi2 型结构。CeAgAs2 的晶体结构已经使用 X 射线粉末衍射数据(a=4.0777(2) A,c=10.5262 A,R=0.078)进行了细化。LnAgAs2 (Ln=Pr, Nd, Sm, Gd, Tb, Dy) 化合物具有一种新型晶体结构,是 HfCuSi2 型结构的正交衍生物。通过 X 射线粉末衍射对 NdAgAs2 化物的晶体结构进行了细化:空间群 Pmmn,a=4.0121(2)A,b=4.0516(2)A,c=10.5012(5)A,R=0.0675。讨论了所得化合物的结构细节及其与已知结构的关系。
查看更多

表征谱图

  • 氢谱
    1HNMR
  • 质谱
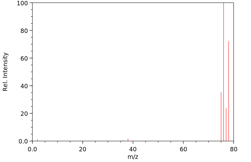
    MS
  • 碳谱
    13CNMR
  • 红外
    IR
  • 拉曼
    Raman
查看更多图谱数据,请前往“摩熵化学”平台
mass
查看更多图谱数据,请前往“摩熵化学”平台
查看更多图谱数据,请前往“摩熵化学”平台
查看更多图谱数据,请前往“摩熵化学”平台
  • 峰位数据
  • 峰位匹配
  • 表征信息
Shift(ppm)
Intensity
查看更多图谱数据,请前往“摩熵化学”平台
Assign
Shift(ppm)
查看更多图谱数据,请前往“摩熵化学”平台
测试频率
样品用量
溶剂
溶剂用量
查看更多图谱数据,请前往“摩熵化学”平台