接口广告
摩熵化学
数据开放平台 数据库官网
小程序
打开微信扫一扫
首页 分子通 化学资讯 化学百科 反应查询 关于我们
请输入关键词
  • Mendeley 实用秘籍大公开,轻松搭建个人学术文献库!

    在学术研究和学习的过程中,我们经常需要阅读、收集、整理大量的文献资料。然而,怎样管理这些资料却成为了一个令人头疼的问题。如何高效地整理、查找和使用这些资料,也成为了研究者们的迫切需求。Mendeley作为一个专业的文献管理软件,为解决这一问题提供了较为完美的解决方案。下面让我们一起来了解一下这款软件吧!

    唯思派
    文献阅读 文献管理 Mendeley 科研学习
    2025-07-13
  • 生信工具深度剖析,Cell Ranger 单细胞测序数据处理全流程攻略

    Cell Ranger是由10x Genomics开发的单细胞RNA测序(scRNA-seq)数据分析工具,广泛应用于基因表达定量、细胞聚类及差异分析等场景。文章主要从安装配置、数据准备、核心功能到结果解读进行说明。

    唯思派
    生信工具 CellRanger 单细胞测序 单细胞分析
    2025-07-12
  • 羟基保护全攻略,从保护基选型到脱除方案,有机合成必看!

    在有机合成中,羟基(-OH)活跃却脆弱—— 它兼具亲水性与亲核性,既能参与酯化、氧化等反应,又容易在多步合成中被意外修饰,打乱分子设计的既定路线。因此,羟基保护成为精细合成中不可或缺的策略:通过引入特定基团暂时 “屏蔽” 羟基活性,待其他反应完成后再精准 “解锁”,确保目标分子的结构完整性。那么,面对琳琅满目的保护基,该如何选择?脱除时又有哪些关键技巧?

    小白
    有机合成 羟基 羟基保护
    2025-07-11
  • 吐血整理!Mendeley 软件安装 + 账号注册超详细攻略,小白也能秒上手

    Mendeley 是一款功能强大的文献管理软件,由 Elsevier 公司开发,能够帮助用户高效地收集、整理、阅读和引用文献,还具备多平台同步和云备份功能,方便用户在不同设备上随时访问和管理自己的文献库,广泛应用于各个学科的学术研究中。

    唯思派
    文献阅读 文献管理 Mendeley
    2025-07-11
  • 紫杉醇的百年传奇之路,从濒危树种中走出的抗癌 “神药”

    在现代抗癌药物的璀璨星空中,紫杉醇无疑是最为耀眼的明星之一。它从默默无名的植物提取物,历经重重考验,成为全球广泛应用的抗癌利器,其历程堪称一部充满挑战与突破的传奇史诗。

    梓萱
    合成路线 紫杉醇 抗癌明星
    2025-07-10
  • 蛋白质免疫印迹(Western Blot,WB) 之全流程实验步骤

    蛋白质免疫印迹(Western Blot,WB)是一种常用于研究中分离和鉴定蛋白质的技术。它利用SDS-聚丙烯酰胺凝胶电泳(SDS-PAGE)来分离指定样品中包含的各种蛋白质,将分离的蛋白质转移到固相载体(例如PVDF膜或硝酸纤维素薄膜)上,固相载体以非共价键的形式吸附蛋白质,且能保持电泳分离的多肽类型及其生物学活性不变。

    网络资讯
    蛋白质免疫印迹 实验步骤
    2025-07-10
  • 化学研发范式重构!摩熵化学数据集,解锁分子奥秘,驱动 AI 化学与材料新发现

    摩熵化学数据集是一个大规模、多维度、高度结构化的化学信息集成平台。它系统性地汇集了1.8亿个化合物信息、涵盖超7000 万条化学反应数据、约200万张真实实验谱图(涵盖氢谱、碳谱、红外、质谱、拉曼等)、100万个晶体结构信息、180万项化合物安全信息、740万条商品化供应数据以及关键的药物ADMET(吸收、分布、代谢、排泄、毒性)特性数据等。

    摩熵化学
    化学大数据 分子数据集 化学数据平台 化学API接口
    2025-07-09
  • 芳香族硝基化合物的合成

    硝基化合物,特别是芳香族硝基化合物,是具有悠久历史的一类化合物。因其在合成染料、香料、药物和炸药等方面作为关键的中间体,这类化合物广泛应用于化学工业、制药和有机合成等众多领域。因此, 硝基化合物的制备自然成为有机化学中被研究最多、应用也最为广泛的反应类型之一。

    摩熵化学
    合成路线 硝基化合物 硝化试剂 芳香烃
    2025-07-08
  • 当光遇见分子,光化学反应的百年研究与突破

    光化学领域发展到底有多快?过去的十几年里,光化学合成领域经历了前所未有的研究热潮,科研成果呈爆发式增长。以过渡金属光敏配合物及有机共轭分子为代表的光氧化还原催化体系逐步突破了传统光化学反应的边界,广泛应用于各种有机反应。

    摩熵化学
    重排反应 光化学反应 光化学应用
    2025-07-04
  • 文献下载神器——sci-hub检索使用攻略!

    Sci-Hub是世界上第一家大规模访问的论文免费下载网站。Sci-Hub库中的论文超过8479万并且不断增长,网站尽可能广泛地提供研究论文以及其他科学或教育资源。目前,Sci-Hub每天提供数十万份研究论文。今天就来为大家介绍一下Sci-Hub的三种检索方式 —— 文献链接检索、使用DOI号检索、PMID号检索。

    吉安
    文献检索 Sci-Hub 论文下载
    2025-07-03
  • AI 制药卷到飞起?Insilico Medicine绞杀药物研发的百年内卷!

    在科技迅猛发展的当下,人工智能(AI)正以前所未有的态势重塑众多领域,药物研发领域也在其影响下经历着深刻变革。英矽智能(Insilico Medicine)作为这场变革的先锋,凭借其前沿的 AI 技术与创新的研发模式,为全球药物研发带来了全新的思路与突破。

    唯思派
    药物研发 Insilico Medicine 英矽智能 AI制药
    2025-06-29
  • 绝了!这个让食物美味的化学反应,90% 的人居然不知道它叫美拉德!

    当面包表面烤出诱人的焦糖色,牛排煎制时散发出浓郁的香气,炸薯条金黄酥脆令人垂涎,你或许不曾意识到,这些美味背后都藏着一个神奇的化学反应 —— 美拉德反应。作为食品科学领域的 “魔术师”,美拉德反应不仅塑造了人类餐桌上无数经典美食的风味与色泽,更在百年研究历程中,逐渐揭开食物美味的科学密码。

    小白
    生活中的化学 美拉德反应 烹饪
    2025-06-28
  • 生信工具库重磅!Samtools 从 0 到 1 实战手册!

    在高通量测序数据处理流程中,Samtools作为核心工具之一,凭借其高效的格式转换、排序、索引及数据筛选功能,成为基因组学、转录组学等领域的标配工具。本文将从安装、核心功能、实操命令到使用技巧,全面解析Samtools的使用要点。

    唯思派
    使用教程 生信分析 生信工具 samtools
    2025-06-28
  • 科研人必备!Discovery Studio 分子建模软件安装全攻略,新手也能秒上手

    Discovery Studio 是一款在生命科学和药物研发领域极具影响力的专业软件套件。它涵盖了分子建模、模拟、药物设计以及结构生物学等多个关键方面。凭借强大的功能模块,用户能够轻松构建各类分子结构模型,从简单的有机小分子到复杂的生物大分子如蛋白质、核酸等,并对其进行精准的编辑和优化操作。

    唯思派
    药物研发 Discovery Studio 分子模拟 生物信息学软件
    2025-06-27
  • 辣椒减肥真有效?科学研究揭开「吃辣燃脂」的真相与误区

    在追求健康与完美身材的热潮中,“多吃辣椒能减肥” 的说法不胫而走,成为许多减肥人士热议的话题。有人宣称坚持吃辣后体重明显下降,也有人质疑这只是无稽之谈。那么,多吃辣椒究竟能不能减肥?让我们透过科学研究,探寻其中的真相。

    小白
    辣椒 减肥 辣椒素
    2025-06-27
  • 中国最毒植物箭毒木,「见血封喉」的传说与科学真相

    在神秘而广袤的中国植物王国中,生长着一种令人望而生畏的植物 —— 箭毒木,它因超强的毒性被冠以 “中国最毒植物” 的名号。这种植物不仅拥有惊心动魄的致命威力,还承载着丰富的文化与科学价值,宛如大自然编织的一枚危险而又迷人的 “毒刺”,吸引着人们去探索其背后的奥秘。

    梓萱
    箭毒木 见血封喉 心血管疾病治疗
    2025-06-26
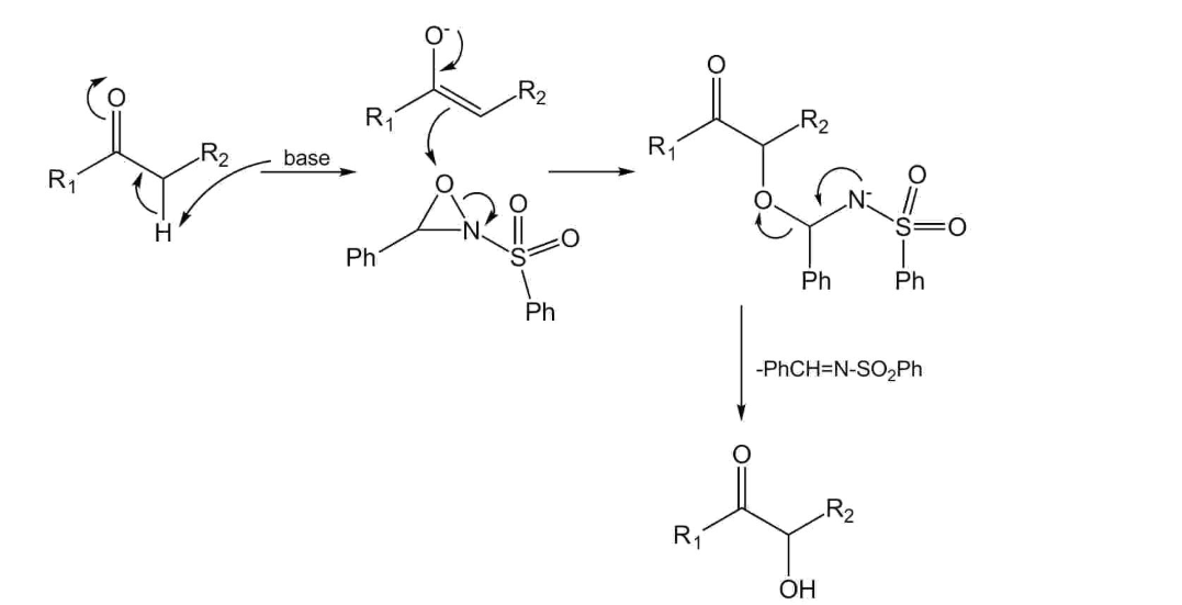
  • Darzens(达参)缩合反应——有机合成中构建环氧酮的经典人名反应

    Darzens反应(Darzens condensation或Darzens reaction)又称Darzens缩合或Darzens环氧酸酯缩合,是指醛或酮在强碱(如醇钠、氨基钠)作用下与α-卤代羧酸酯缩合,生成α,β-环氧酸酯(缩水甘油酸酯),后者经水解、脱羧可转化为高一级的醛或酮的反应。

    摩熵化学
    有机人名反应 缩合反应 Darzens反应
    2025-06-26