接口广告
摩熵化学
数据开放平台 数据库官网
小程序
打开微信扫一扫
首页 分子通 化学资讯 化学百科 反应查询 关于我们
请输入关键词

有机人名反应——Davis氧氮环丙烷氧化!

  • 有机人名反应
  • 氧化反应
  • Davis氧氮环丙烷氧化
  • 环丙烷氧化
摩熵化学 2025/07/16

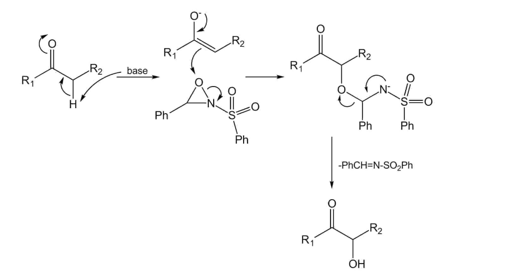
Davis氧氮环丙烷氧化反应,是使用2-(苯磺酰基)-3-苯基氧氮杂环丙烷(戴维斯试剂)或类似的氧氮杂环丙烷试剂将羰基和酯基的α位在温和条件下氧化生成α-羟基化合物的反应。

含有氧,氮和碳的三元杂环叫做氧氮杂环丙烷。在20世纪50年代的后半期,通过用过氧酸处理亚胺,首次合成了氧杂二嗪。由于环的扭曲和N-O键的相对不稳定性,氧氮杂环丙烷是具有很高反应活性的基团,它既可以作为胺化剂也可作为氧化剂。如果被引入的同氧氮杂环丙烷上的氮相连的基团是小的,亲核试剂进攻氮原子。但是如果引入的基团较大,亲核取代反应发生在氧原子上。

反应定义

α-hydroxylation of carbonyl compounds employing N-arylsulfonyl-oxaziridines. Amines, sulfides, and selenides can also be oxidized

反应机理

此反应的主要机理为SN2亲核取代。烯醇盐和胺缩醛中间体反应可能生成Mannich反应副产物。

反应特点:

1)该反应也适用于酰胺;

2)戴维斯试剂还可以多种氧化反应:硫化物和硒化物氧化成为亚砜和硒氧化合物。烯烃氧化为环氧化合物,胺氧化成为羟胺或胺氮氧化物;

3)使用具有光学活性的氧氮杂环丙烷可实现不对称氧化。

除了氧化羰基和酯基α位,Davis试剂还可以用于以下氧化反应:

  • 氧化硫醚和硒醚得到相应的亚砜和硒亚砜,并且没有过氧化反应;
  • 烯烃氧化得到环氧化物;
  • 胺氧化为羟胺或胺氮氧化物;
  • 有机金属化合物氧化为醇或酚。

反应相关介绍:

20世纪70年代末,F.A.Davis制备得到了N-磺酰基氧杂氮丙啶,其对亲核试剂有非常专一的氧化性,氧化速率和过氧酸相当。N-磺酰基氧杂氮丙啶具有两大优势:它们具有极高的化学选择性,而且是中性的非质子氧化剂。

以下氧化转化可以轻松实现:

1)将硫化物和硒化物转化为硫氧化物和硒氧化物,且不会发生过度氧化;

2)将烯烃转化为环氧化物;

3)将胺转化为羟胺和胺氧化物;

4)将有机金属化合物转化为醇或酚。

N-磺酰氧基ziridines最广泛的应用是将烯醇化物氧化为a-羟基羰基化合物酰基酮。最近,由于这类氧化剂独特的反应特性,一种新型的氧基aziridines,即全氟氧基aziridines,正在受到合成化学家的关注。N-磺酰基氧杂氮丙啶具有很好的化学选择性,是中性非质子氧化剂官能团耐受度高,用樟脑磺酸衍生物之类的具有光学活性的oxaziridine能实现不对称氧化。

相关文献:

  • Davis, F. A., Nadir, U. K. Tetrahedron Lett. 1977, 1721-1724.
  • Davis, F. A., Nadir, U. K., Kluger, E. W. J. Chem. Soc., Chem. Commun. 1977, 25-26.
  • Davis, F. A., Jenkins, R., Jr., Yocklovich, S. G. Tetrahedron Lett. 1978, 5171-5174.
  • Davis, F. A., Abdul-Malik, N. F., Awad, S. B., Harakal, M. E. Tetrahedron Lett. 1981, 22, 917-920.
  • Davis, F. A., Billmers, J. M. J. Org. Chem. 1983, 48, 2672-2675.
  • Davis, F. A., Harakal, M. E., Awad, S. B. J. Am. Chem. Soc. 1983, 105, 3123-3126.

合成应用

J.D.White及其同事进行的极具立体选择性的epothilone B全合成过程中,通过应用Davis氧氮环丙烷氧化,确定了大环内酯中醇部分的立体化学。钠的烯醇化物通过相应的具有手性的1,3-氧氮杂环戊烷制得,经氧化后可获得71%产率的a-羟基化产物。

C.J.Forsyth实验室发现了用取代的1,7-dioxaspiro[5.5]undec-3-ene 的体系进行简单的反应,就能合成 okadaic acid 的 C3-C14 部分。C3-C8 部分,也就是取代的戊内酯,通过三步反应来制得。这个内酯的a-羟基化具有异构体选择性,通过应用相应的锂的烯醇化物在-78 摄氏度进行Davis手性磺酰基氧氮杂环丙烷氧化反应制得。这几步反应单独可得到 61%的产量,异构体的比率为10:1。

(-)-fumiquinazolineA 和 B的首次全部合成是由 B.B.Snider 及其同事们完成的,他们用 iodoindole 的氨基甲酸盐在 Buchwald-Hartwig Pd 催化作用下的环化作用来构建 imidazoindolone 这一部分。为了在吲哚部分的苯甲基位生成特定需要的化学异构体产物,双键需在甲醇存在的条件下被含糖的 Davis 氧氮杂环丙烷所氧化,得到65%的主要的异构体产物。

反应实例

Journal of the American Chemical Society, 1997 , vol. 119, # 42 p. 10034 - 10041

Patent: WO2010/126607 A2, 2010

Organic Letters, 2005 , vol. 7, # 7 p. 1355 - 1358

Patent: US2008/90825 A1, 2008

Journal of the American Chemical Society, 2002 , vol. 124, # 24 p. 7061 - 7069

如需查看更多人名反应信息或查询相关参考文献,请使用摩熵化学(MolAid)人名反应功能,此模块收录了1000+化学界已被认可和提及的有机化学反应助力您深入理解化学反应的本质,从而高效合成目标化合物。

声明:以上内容仅代表作者观点,如有不科学之处,欢迎指正。

<END>