摩熵化学
数据库官网
小程序
打开微信扫一扫
首页 分子通 化学资讯 化学百科 反应查询 关于我们
请输入关键词
  • 解密柠檬的酸爽来源——藏在果肉里的柠檬酸(Citric acid)!

    当你咬下一片柠檬时,立刻涌上舌尖的那股强烈酸味大多来自一种名为柠檬酸的分子。柠檬酸既是我们日常生活中的“隐形伙伴”,又是科学研究和工业生产中的关键角色。更有意思的是,它在生物体内还承担着能量代谢的重要任务,堪称生命能量的“枢纽分子”。

    化学空间
    柠檬酸 三羧酸循环 螯合剂 抗凝血剂
    2025-10-26
  • 基因信息查询——NCBI Gene数据库使用指南!

    NCBI 旗下的Gene 数据库,作为基因信息的 “一站式枢纽”,它覆盖了从人类到酵母、从果蝇到小鼠的多物种数据,可以用来检索不同物种的基本上所有的相关信息。不管你是刚入门的研究生,还是需要快速找数据的研究员,掌握它的用法都能少走很多弯路。

    唯思派
    NCBI Gene数据库 基因信息查询
    2025-10-24
  • 快来看这几种洗瓶子的方法,专治玻璃器皿不干净!

    在化学实验工作中,洗涤玻璃仪器不仅是一项必须做的实验前的准备工作,也是一项技术性的工作。实验室仪器的洁净程度直接影响到实验效果,甚至决定着实验的成败。由于器皿的不清洁或被污染,往往造成较大的实验误差,甚至会出现相反的实验结果。

    网络资讯
    化学实验 洗涤玻璃仪器 仪器洗涤方法
    2025-10-22
  • 科学解密葡萄酒中的香气物质——葡萄酒内酯(Wine lactone)!

    萄酒风味的复杂性来源于多种挥发性和非挥发性化合物的共同作用,其中具有极低嗅觉阈值的关键香气化合物尤为重要,这类化合物通常以痕量形式存在,却能对葡萄酒的整体感官特征产生决定性影响。其中的典型代表是葡萄酒内酯,它呈现出椰子、木质和甜香调,具有增强果香与甜感的作用,是葡萄酒中重要的香气成分之一。

    化学经纬
    葡萄酒 葡萄酒内酯 月桂酸
    2025-10-22
  • 日常科研文献查寻?CORE 数据库来帮忙,免费实用不发愁!

    写论文、做研究时,你是不是也遇到过这些糟心事?好不容易在某平台搜到关键文献,点进去却提示 “付费才能查看全文”,少则几十块一篇,多则上百;要么就是只有摘要没有正文,对着几行文字根本没法深入研究,只能对着屏幕干着急?今天就给大家分享一个实用工具 ——CORE 数据库(https://core.ac.uk/)

    唯思派
    CORE数据库 文献下载 文献查询
    2025-10-20
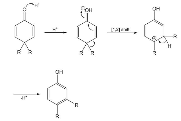
  • 有机人名反应——Diels-Alder(狄尔斯–阿尔德)环加成反应!

    Diels–Alder反应(D-A反应),又叫狄尔斯–阿尔德反应、双烯加成反应,是一种环加成反应,共轭双烯与取代烯烃(一般称为亲双烯体)反应生成取代环己烯。它是共轭二烯烃和某些具有碳碳双键、三键的不饱和化合物进行1,4-加成,生成六元环状化合物的反应。

    摩熵化学
    Diels–Alder反应 双烯加成反应 环加成 狄尔斯–阿尔德反应
    2025-10-19
  • 国家基因组科学数据中心(NGDC),实用功能全解!

    国家基因组数据科学中心是由我国的重要生物数据平台,致力于收集、整合、存储和分析全球基因组学及相关组学数据,为生命科学研究提供数据共享和分析服务。上一期我们已经初步了解了NGDC的数据组成,那这一期跟随小编一起进入实用功能全解析吧!

    唯思派
    国家基因组科学数据中心 NGDC
    2025-10-18
  • 小日子里的大学问,藏在日常细节中的化学原理

    当我们晨起拧开水龙头,看着水流冲刷掉餐具上的残渣;当我们出门前穿上防水外套,任凭雨滴滑落却不浸湿衣料;当我们夜晚点亮台灯,电流通过灯泡让钨丝发光发热 —— 这些习以为常的瞬间,其实都与化学有着千丝万缕的联系。小日子里的温暖与便捷,从不是凭空而来,那些藏在日常细节里的化学原理,就像一个个 “隐形工程师”,默默搭建起生活的秩序,也藏着值得细细品味的 “大学问”。

    网络资讯
    生活中的化学
    2025-10-17
  • 收藏!一文吃透 SCI 实用指南!核心认知与操作要点,科研人速存

    科研小白必看!还在为 SCI 一头雾水?影响因子、分区、投稿技巧… 这些核心知识,一篇全搞懂!本文将系统梳理 SCI 的核心定义、关键关联概念、实际用途及基础操作方法,为科研新手提供清晰的认知参考。

    唯思派
    科睿唯安 论文发表 SCI 中科院分区
    2025-10-15
  • 生信宝藏 | 国家基因组科学数据中心(NGDC)——中国人自己的数据库!

    今天为大家介绍一个由我国中科院打造的国家基因组科学数据中心(https://ngdc.cncb.ac.cn/)数据库,包括原始测序数据归档库GSA、基因组归档数据库GWH、基因组变异数据库GVM、非编码RNA等。

    唯思派
    基因数据库 国家基因组科学数据中心 NGDC 组学数据
    2025-10-14
  • 揭秘酶促反应为主的褐变作用——为什么苹果切开会变色?

    苹果中含有丰富多样的酚类物质(如绿原酸、儿茶素等),具有较高的营养价值,但是这些成分在切割或不当储存下易发生酶促褐变,导致色泽变暗、口感下降。本文将以苹果为切入点,揭示食物氧化的化学本质,重点解析褐变的机制,并探索如何通过科学手段与创新思维理性处置褐变食物。

    洞察化学
    褐变作用 酶促褐变 食物变色
    2025-10-13
  • KEGG 数据库使用指南(3)——数据分析功能进阶之从多组学整合到机制解析

    在组学研究中,当我们获得差异基因或代谢物列表后,如何将这些零散数据转化为具有生物学意义的通路机制?KEGG 数据库的数据分析功能正是连接数据与机制的关键桥梁。相比基础的数据检索,KEGG 的分析工具能实现从基因注释到通路富集、从单一数据到多组学整合的深度分析。

    唯思派
    富集分析 KEGG 多组学整合
    2025-10-12
  • 有机人名反应——Dieckmann(狄克曼)酯缩合反应!

    Dieckmann 缩合反应(Dieckmann Condensation)是分子内克莱森缩合(Intramolecular Claisen Condensation) 的特例和最重要应用。它是指二元羧酸二酯在碱性条件下,被四个或四个以上的碳原子隔开,发生分子内的酯缩合,形成环状β-酮酯的反应。

    摩熵化学
    有机人名反应 克莱森缩合 狄克曼酯缩合反应
    2025-10-11
  • 何为 “分子美学”?从概念到本质的全面解答

    或许对很多化学家而言,热爱化学的首要原因就是觉得分子是美的,他们享受分子在呈现在眼前、从笔尖流淌出、在实验室中被创造出的感觉:首先是美带给人的感觉,其次才是驱使人去研究它们的好奇心。

    SDSZ焓变社
    化学结构式 分子结构 分子美学 晶体结构
    2025-10-09
  • KEGG数据库使用指南(2)——数据分析与通路富集可视化

    在上期推文中,我们介绍了 KEGG 数据库的数据结构与检索方法,掌握了通路、基因、化合物等核心数据的获取方式。本期将聚焦 KEGG 的数据分析功能,教你如何将基因列表转化为生物学洞见,揭示基因背后的通路调控网络。

    唯思派
    生信工具 富集分析 KEGG
    2025-10-08
  • 回望 18 世纪化学革命,从传统思辨到定量实验,化学学科的 “破茧之战”

    对于一门学科历史的学习与探索有助于从人类认识和发展该学科的视角理解此学科。回归到发现与探索的语境有助于理解学科成就的推演逻辑与本质。本期公众号将聚焦于18世纪末的化学革命。通过回归化学发展的语境展现出现代化学的起点与内在的学科逻辑。

    SDSZ焓变社
    化学革命 拉瓦锡 定量化学 燃素学说
    2025-10-08
  • KEGG 数据库使用攻略!访问与查询基础必备教程

    在生信的学习中,大家都会听说过KEGG富集分析,而且该方法在高通量测序分析中已然成为数据分析中必不可少的一环。这种分析方法依托的是由 Kanehisa实验室 在1995年开发的KEGG数据库,全称为 Kyoto Encyclopedia of Genes and Genomes(京都基因与基因组百科全书),是分子水平功能注释最常用的公共数据库之一。

    唯思派
    生信工具 富集分析 KEGG
    2025-10-07