接口广告
摩熵化学
数据开放平台 数据库官网
小程序
打开微信扫一扫
首页 分子通 化学资讯 化学百科 反应查询 关于我们
请输入关键词

有机人名反应——Dienone-Phenol(二烯酮-酚)重排反应!

  • 二烯酮-酚重排
  • Dienone-Phenol反应
摩熵化学 2025/10/27

在各种条件下(酸性和碱性)重排螺二烯酮,可得到取代的6H-二苯并[b,d]吡喃-6-酮。D.J. Hart等人的研究表明在硫酸水溶液中的重排产生了形式上的O-迁移产物,而在三氟乙酸酐(TFAA)/三氟乙酸(TFA)/硫酸中的重排主要产生C-迁移产物。 二烯酮-苯酚重排对高度取代的螺二烯酮体系也有效,根据所应用的反应条件得到C-或O-迁移产物。烷基二烯酮在酸、碱催化或光化学诱导下的烷基迁移被称为Dienone-Phenol(二烯酮-酚)重排,指含有共轭二烯酮结构的化合物(通常为环己二烯酮衍生物)在酸性条件下发生分子内环化重排,生成苯酚衍生物的反应。

二烯酮-酚重排是一种酸催化反应,其中交叉共轭的环己二烯酮(二烯酮)重排为取代的酚。此转化由芳构化获得的热力学稳定性驱动。其本质是碳正离子重排串联芳构化。是构建芳香环,尤其是苯酚类化合物的重要方法,核心在于通过双键迁移和芳构化实现环结构的重构

酚类化合物是一类重要的有机合成前体,它广泛存在于自然界和生物体系。传统的制备酚类化合物的方法包括卤代苯水解法、异丙苯氧化法、重氮盐水解法等,此外,双烯酮-酚重排反应也被广泛用于酚类化合物的制备。

早在1893年,化学家A. Andreocci就发现蛔虫药“山道年”(Santonin)在酸性条件下会生成另一种物质,但直到1930年“山道年”及其酸性条件下生成的产物结构才被确定。1946年,美国化学家A. L. Wilds和C. Djerassi首先将该反应用于Chrysene衍生物的合成并首次将其命名为Dienone-Phenol Rearrangement。

“山道年”在酸性条件下的重排

反应定义

Transformation of a 4,4-disubstituted cyclohexadienone into a 3,4-disubstituted phenol upon acid treatment

图片来源:摩熵化学(MolAid)

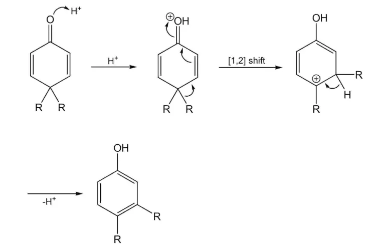
反应机理

图片来源:摩熵化学(MolAid)

“双烯酮-酚重排”反应的机理并不复杂,由于最常用的催化条件是酸,因此反应通常被认为涉及碳正离子中间体。

步骤 1: 质子化: 二烯酮的羰基氧被质子化。

步骤 2: 瓦格纳-米尔文迁移 (Wagner-Meerwein Shift): 连接在C4位上的一个烷基(R)从C4迁移到相邻的缺电子碳(C3)上。这是一个1,2-迁移。

关键点: 此迁移发生时,迁移碳(R)的构型保持不变。

步骤 3: 去质子化与芳构化: 从(现在已成为烯醇的)羰基碳相邻的碳上失去一个质子,导致形成芳香性的酚环体系。

根据反应机理我们不难推测不同基团发生迁移的难易程度,显然迁移后形成的碳正离子越稳定该基团也越容易迁移。邻位或对位取代的环己二烯酮本身不具备芳香性,但产物苯酚具有较为稳定的芳香结构,因此该过程的巨大驱动力是“芳构化”,反应往往需要放出大量的热。通常情况下,该反应仅仅需要中等强度的酸介质,例如H2SO4/HOAc,Ac2O,Lewis酸等就可以获得可观产率,因而实际应用非常广泛。

关键特性

驱动力: 形成稳定的芳香环。

迁移基团 (R): 通常为烷基(甲基、伯、仲、叔烷基)、芳基或乙烯基。氢原子不能有效迁移。迁移基团必须能够在迁移过程中稳定发展中正电荷(迁移能力:叔基 > 仲基 > 伯基 > 甲基)。

立体化学:迁移是立体专一的,迁移碳的构型保持。如果R是手性基团,其立体化学在产物中得以保留。

异常二烯酮-酚重排: 如果迁移基团R是苯基(或其他能够稳定苄基正离子的基团),有时会形成不同的产物。此时质子化发生在二烯体系上而非羰基,导致生成螺二烯酮中间体,该中间体随后重排为对位取代的酚(苯基连接在酚羟基的对位)。这种情况比“正常”重排少见。

竞争反应: 如果迁移基团形成稳定性较差的碳正离子,或者二烯酮结构允许其他途径(例如环收缩),则可能发生脱水或其他碳正离子重排等竞争反应。

合成应用

A.G.Schultz实验室中通过4,4-二取代的2-苯基-2,5-环己二烯酮的光化学二烯酮-苯酚重排开发了四取代和五取代酚的有效合成路线。光重排底物可方便地由相应芳族化合物的Birth还原-烷基化及随后使用叔丁基氢过氧化物和催化量的PDC对初始二烯产物进行双烯丙基氧化来制备。 在366 nm光照射下,二烯酮经历区域选择性二烯酮苯酚重排以高收率得到酚。

在贵田霉素的模型研究期间,K.A.Parker及其同事开发了一种合成双C-芳基糖苷的方法。他们使用区域控制的路易斯酸介导的二烯酮-苯酚型重排作为关键步骤合成了酚类双糖苷,其中烯糖经历了[1,2]-迁移。 得到的双C-芳基烯糖首先用PtO2氢化得到双糖苷,然后进行整体去硅烷基化,得到所需的贵田霉素模型。

在各种条件下(酸性和碱性)重排螺二烯酮,可得到取代的6H-二苯并[b,d]吡喃-6-酮。D.J. Hart等人的研究表明在硫酸水溶液中的重排产生了形式上的O-迁移产物,而在三氟乙酸酐(TFAA)/三氟乙酸(TFA)/硫酸中的重排主要产生C-迁移产物。 二烯酮-苯酚重排对高度取代的螺二烯酮体系也有效,根据所应用的反应条件得到C-或O-迁移产物。

反应实例

Journal of the American Chemical Society, 1959 , vol. 81, p. 4728

图片来源:摩熵化学(MolAid)

Tetrahedron Letters, 1999, vol. 40, # 20, p. 3827 - 3830

图片来源:摩熵化学(MolAid)

RSC Advances, 2015, vol. 5, # 48, p. 38499 - 38502

图片来源:摩熵化学(MolAid)

Collection of Czechoslovak Chemical Communications, 1969 , vol. 34, p. 681 - 685

图片来源:摩熵化学(MolAid)

Journal of the Chemical Society, Perkin Transactions 2: Physical Organic Chemistry (1972-1999), 1984 , # 3 p. 373 - 382

图片来源:摩熵化学(MolAid)

如需查看更多人名反应信息或查询相关参考文献,请使用摩熵化学(MolAid)人名反应功能,此模块收录了1000+化学界已被认可和提及的有机化学反应,助力您深入理解化学反应的本质,从而高效合成目标化合物。

【免责声明】发布内容来源于互联网、业内人士投稿以及微信公众号等公开资源,我们对文中观点持中立态度,文中观点不代表本平台的立场。所有文章仅供读者参考和交流使用。转载的文章版权归原作者所有,如有侵权行为,请及时与我们联系以便删除。

<END>