接口广告
摩熵化学
数据开放平台 数据库官网
小程序
打开微信扫一扫
首页 分子通 化学资讯 化学百科 反应查询 关于我们
请输入关键词

认识褪黑素受体激动药——阿戈美拉汀(Agomelatine)!

  • 褪黑素
  • 睡眠
  • 阿戈美拉汀
  • 抗抑郁
摩熵化学 2025/04/30

抑郁症(Depression)——是目前世界的第四大疾患,据世界卫生组织(WHO)统计,抑郁症已成为全球常见疾病,全球有超过3.5亿人罹患抑郁症,近十年来患者增速约为18%。有专家预计,抑郁症可能成为仅次于心脑血管疾病的人类第二大疾病。抑郁症主要以显著而持久的心境低落为主要特征,是由多种因素引起的情感障碍性疾病。

阿戈美拉汀是一种新型抗抑郁药,是长效褪黑素受体激动剂和5-HT2C受体拮抗剂的代表药物,能发挥促进睡眠和抗抑郁的双重机制,适用于睡眠障碍伴有轻度焦虑抑郁的失眠患者,能够减轻神经递质过度活跃所导致的症状,如幻觉、妄想、情绪波动等。在大脑中起着重要的调节作用,影响情绪、注意力、记忆等方面。

对于伴有睡眠障碍的抑郁患者,在2015年中国抑郁障碍防治指南(第二版)和2016年加拿大焦虑与心境障碍治疗网络/国际双相障碍学会双相障碍治疗指南中,阿戈美拉汀以1级证据等级推荐作为伴有睡眠障碍抑郁患者的一线治疗药物。

分子信息:

阿戈美拉汀分子结构

结构信息:

分子解读:

阿戈美拉汀(agomelatine),化学式C15H17NO2,化学名为N-[2-(7-甲氧基-1-萘基)乙基]乙酰胺,商品名Valdoxan,是法国Servier公司研发的褪黑激素激动剂,兼有拮抗5HT2C受体作用,它是第一个褪黑激素类抗抑郁药,能有效治疗抑郁症,改善睡眠参数和保持性功能。

阿戈美拉汀于2009年2月获欧盟批准上市,用于成人抑郁症的治疗,是抑郁症治疗领域的一个新突破;并于2011年4月在我国上市。其创新性在于其独特的作用机制,它是全球首个褪黑素(MT1、MT2)受体激动剂,同时也是5‑HT2C受体拮抗剂。用于治疗成人抑郁症,具有快速见效、副作用小、安全性高等特点。它通过激动褪黑激素受体来改善失眠症状,适用于有失眠和睡眠障碍的抑郁症患者。

物化性质:

阿戈美拉汀物化性质

原药为白色粉末;熔点:107~109℃;沸点:478.8±28℃;密度:1.109 g/cm3。

作用机制:

阿戈美拉汀是一种褪黑激素的萘类衍生物,拥有褪黑素 (melatonin receptor, MT)1/ MT2受体激动和5-羟色胺(serotonin,5-HT)受体拮抗双重作用机制。

作为第一个#褪黑素抗抑郁药,阿戈美拉汀的主要作用机制是刺激松果体内的褪黑素受体,从而更多的褪黑素以调节人体的昼夜节律。通过拮抗突触后膜的5-HT2C受体,可以增加前额叶皮质(prefrontal cortex, PFC)多巴胺(dopamine, DA)和去甲肾上腺素(noradrenaline, NE)的释放,发挥抗抑郁的作用。抗抑郁同时激活褪黑激素受体MT1和MT2重建患者紊乱的生物节律,缩短睡眠潜伏期,增加睡眠时间,提高睡眠质量。此前,我们也为大家介绍了褪黑素相关知识(褪黑素如何主宰生物钟?一文读懂这个神奇分子的作用机制,感兴趣的小伙伴可以看一下哦!

阿戈美拉汀的第二个作用机制就是拮抗大脑内的五羟色胺受体,让其无法与五羟色胺相结合,同时减少5-羟色胺的释放,从而产生抗抑郁的作用。临床研究的效果表明阿戈美拉汀的抗抑郁效果优于常用的抗抑郁药,如氟西汀、文拉法辛等,并且副作用更少。

此外,阿戈美拉汀能增强神经递质活动,增加前额皮质多巴胺和去甲肾上腺素的释放,对单胺再摄取无明显影响,对α-肾上腺素受体、β-肾上腺素受体、组胺受体、胆碱受体、多巴胺受体及苯二氮草类受体无明显亲和力。

阿戈美拉汀也具有一定的抗炎和抗氧化特性,可以减少炎症反应和氧化应激,有助于改善抑郁症状。

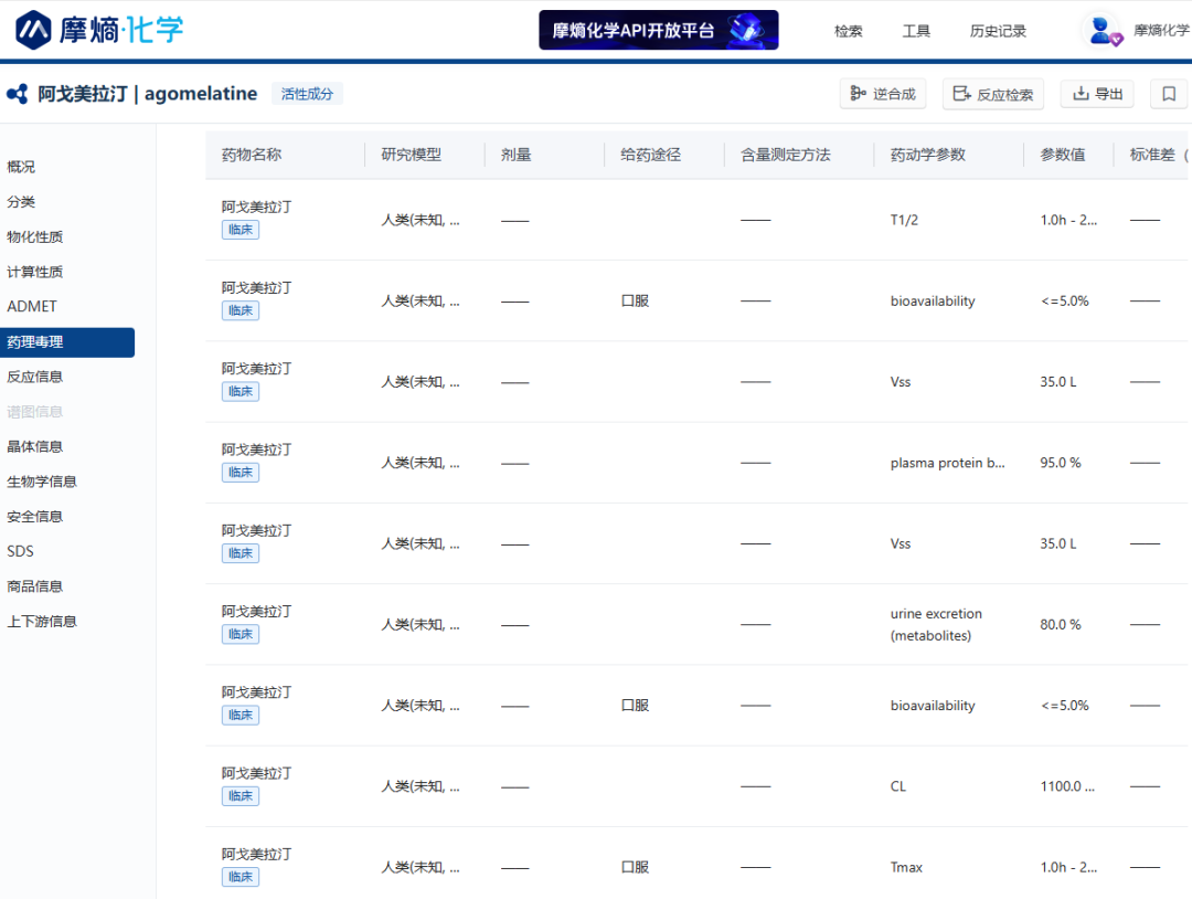
阿戈美拉汀ADMET

阿戈美拉汀优势体现:

①产生的中枢神抑制作用对白天影响较小,减少传统的安眠药导致患者白天嗜睡等现象。阿戈美拉汀主要通过刺激,夜间分泌褪黑素,保证白天的精神状态不受影响。

②有促进睡眠和抗抑郁双重作用,这种对睡眠的改善作用往往在用药的第1周就会显现。抑郁症和失眠是有相关性的,对于抑郁症伴有失眠的患者,促进睡眠,改善睡眠结构和质量的同时发挥抗抑郁作用。

③阿戈美拉汀对人体的成瘾性、依赖性都很小,因此对减药和撤药反应很小。

④改善动力缺乏和快感缺失,对性功能障碍发生率低,体重影响少。

阿戈美拉汀药理毒性

临床应用特色

1、兼具调节睡眠和生物节律作用。阿戈美拉汀具有独特的MT激动和5-HTc受体拮抗作用,可在晚间调节患者的睡眠结构,改善睡眠,在日间改善兴趣、动力和快感缺失等症状。

2、耐受性好。阿戈美拉汀总体耐受性较好,在安慰剂对照研究中,阿戈美拉汀常见的不良反应有头疼、头晕、困倦、腹泻、恶心、镇静、疲乏和失眠。由于阿戈美拉汀的作用与5-HT含量增加无关,所以较少引起胃肠道反应、性功能障碍、精神运动性激越、体重增加和5-HT综合征等不良反应。

反应信息:

合成路线:

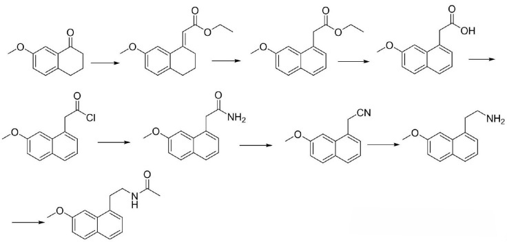
欧洲专利EP0447285报道了以7‑甲氧基‑1‑萘满酮为起始原料,经过与溴乙酸乙酯缩合,芳构化,酯水解,酰氯化,氨化,脱水得到7‑甲氧基‑1‑萘乙腈,再经过氰基还原以及乙酰化得到阿戈美拉汀 。该路线反应步骤多,耗时长,整条路线中使用溶剂多,不利于成品中残留溶剂的测定,成本高、不符合工业化要求。

“阿戈美拉汀的合成”(唐家邓,岑均达.《,中国医学工业杂志》,2008,[0011] 39(3),161‑162)报道了以7‑甲氧基‑1‑萘满酮为起始原料,经过与氰基乙酸缩合, DDQ芳构化,以及氰基还原和乙酰化反应得到阿戈美拉汀,该方法虽然无需采用剧毒的硼烷和氰化钾,但是需要先进行芳构化后再进行氰基还原和酰胺化,且氰基还原和酰胺化采用“一锅法”的方式,不可避免的产生二聚体杂质以及二聚体酰胺化杂质,导致阿戈美拉汀的纯度低,给原料药产品的质量带来压力和风险。

专利CN101638376报道了以 1- 溴 -7- 甲氧基萘 (2) 为原料,先和镁屑反应得相应的格氏试剂,再和环氧乙烷反应得 7- 甲氧基 -1- 萘乙醇 (3)。3 和苯磺酰氯成酯得 (7- 甲氧基 -1-萘乙基 ) 苯磺酸酯 ( 4),再与邻苯二甲酰亚胺钾盐缩合得 N-[2-(7- 甲氧基 -1- 萘基 ) 乙基 ] 邻苯二甲酰亚胺 (5)。随后经水合肼肼解并成盐酸盐得 2-(7-甲氧基 -1- 萘基 ) 乙胺盐酸盐 ( 6),最后经乙酸酐酰化得阿戈美拉汀。该工艺路线短,操作简便,且无需高温高压等特殊条件,总收率 43.5%。已应用于放大生产。

专利CN116924931A以SM1为起始原料,与硝基甲烷进行缩合反应,得到AG-1化合物;将氨气甲醇溶液、AG-1的环己烯和钯催化剂混合进行芳构化反应,得到的芳构化反应液在氢气中进行还原反应,得到伯胺化合物,接着进行乙酰化反应,得到阿戈美拉汀。本发明采用一步法进行芳构化和还原,简化了操作,提高了反应收率,减少了三废,同时避免了氰基还原时产生的二聚体杂质,得到的阿戈美拉汀产品纯度高,适合工业化生产。

使用禁忌:

阿戈美拉汀禁止与强效CYP1A2抑制剂(如氟伏沙明、环丙沙星、胺碘酮、美西律等)联用。谨慎与中度CYP1A2抑制剂(如帕罗西汀、雌激素)、CYP2C9抑制剂(如氟康唑)联用。吸烟具CYP1A2诱导作用,可以使阿戈美拉汀的血药浓度峰低3-4倍,因此服药期间不建议吸烟。目前尚缺乏足够的阿戈美拉汀与其他抗抑郁药联用的疗效和安全性的循证研究证据。从已知的药理学特性看,由于其与现有的大多数抗抑郁药作用机制不同,与其他抗抑郁药联用可能存在作用互补的抗抑郁疗效。

特殊人群用药

①乙肝病毒携带者、丙肝病毒携带者、肝功能损害患者或转氨酶升高超过正常上限者禁用。

②18岁以下儿童和青少年患者、妊娠期或哺乳期女性患者、≥75岁老年患者不推荐使用。

③阿戈美拉汀片含有乳糖。有罕见的遗传性半乳糖不耐受、Lapp乳糖酶缺乏或葡萄糖半乳糖吸收不良的患者不应使用。

结束语:

阿戈美拉汀作为一种新型抗抑郁药,发挥抗抑郁的同时调整睡眠结构,平衡神经递质,缓解抑郁、改善睡眠质量,但想要全方面的恢复,也不要忘记心理调适和社会功能恢复的重要性,毕竟药物治疗只是其中一方面。

参考资料:

[1] 药品说明书(2016-04-12)-阿戈美拉汀片(法国施维雅药厂).

[2] Srinivasan V,Pandi-Perumal SR,Trahkt I,et al.Melatonin a nd melatonergic drugs on sleep:possible mechanisms of actio n【J.Int J Neurosci,,2009,119(6):821-846.

[3] 中华医学会神经病学分会,中华医学会神经病学分会睡眠障碍学组,解放军医学科学技术委员会神经内科专业委员会睡眠障碍。中国发作性睡病诊断与治疗指南。中华神经科杂志,2015,48(6):445-452.

[4] 洪武,司天梅等,阿戈美拉汀治疗抑郁症临床应用专家建议,《中国新药与临床杂志》,2018年11月,第37卷 第11期.

[5] 摩熵化学.化合物检索及合成设计平台.[DB/OL].https://chem.molaid.com/home.[1990-2025]


声明:以上内容仅代表作者观点,如有不科学之处,欢迎指正。

<END>