接口广告
摩熵化学
数据开放平台 数据库官网
小程序
打开微信扫一扫
首页 分子通 化学资讯 化学百科 反应查询 关于我们
请输入关键词

有机人名反应——Dieckmann(狄克曼)酯缩合反应!

  • 有机人名反应
  • 克莱森缩合
  • 狄克曼酯缩合反应
摩熵化学 2025/10/11

Dieckmann 缩合反应(Dieckmann Condensation)是分子内克莱森缩合(Intramolecular Claisen Condensation) 的特例和最重要应用。它是指二元羧酸二酯在碱性条件下,被四个或四个以上的碳原子隔开,发生分子内的酯缩合,形成环状β-酮酯的反应。

这个反应由德国化学家 Walter Dieckmann 在1894年首次报道,因此得名。它是合成五元、六元或更大环状β-酮酯的重要方法,这些产物是合成环酮、生物碱、类固醇等复杂天然产物的重要中间体。

传统上所用的碱为乙醇钠,在乙醇中反应。现多为位阻大、亲核性小的碱,如t-BuOK、LDA、LHMDS,并在非质子性溶剂,如四氢呋喃中反应,以便反应能在较低温度下进行,减少副反应发生。

反应定义

Base-catalyzed intramolecular cyclization of dicarboxylic acid esters to give β-ketoesters

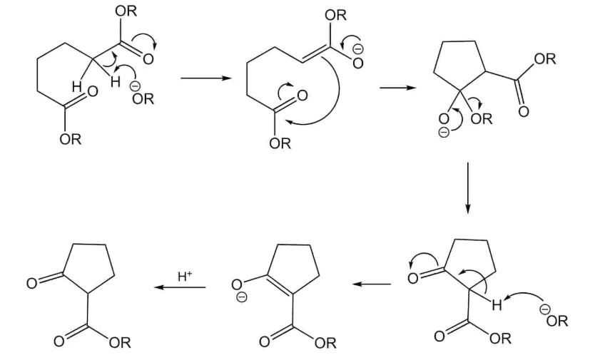
反应机理

Dieckmann缩合遵循标准的克莱森缩合机理,是分子内亲核加成-消除过程:

1. 去质子化: 强碱(B⁻, 如 EtO⁻)从二酯分子中酸性较强的α-碳(通常位于两个羰基之间)上夺取一个质子,生成烯醇负离子(碳负离子)。

对于对称二酯,两个α-碳等效。对于不对称二酯,碱倾向于夺取酸性更强的α-碳上的质子(即连接吸电子基更强的酯基旁边的α-碳),这决定了反应的方向和主要产物。

2. 亲核加成: 生成的烯醇负离子作为亲核试剂,分子内进攻同一个分子中的另一个酯基的羰基碳原子,发生亲核加成,形成四面体氧负离子中间体。

3. 消除: 四面体中间体不稳定,消去一个烷氧基负离子 (R''O⁻),生成环状β-酮酯(此时其烯醇式负离子形式是稳定的共振结构)。

4. 质子化 ( 后处理): 反应完成后,通常加入酸(如稀 HCl、醋酸)进行酸化处理。烷氧基负离子 (R''O⁻) 被质子化成醇 (R''OH),同时β-酮酯的烯醇负离子也被质子化,得到最终的环状β-酮酯中性分子。

从机理可以看出,Claisen(克莱森)缩合反应是可逆的,反应的驱动力是产物β-酮酯的共振稳定的烯醇化物的产生。迪克曼缩合的机理几乎与克莱森缩合的机理相同。 然而,限速步骤是环的形成,其中烯醇酯进攻第二个酯官能团的羰基。所得的四面体中间体接着迅速分解成β-酮酯的烯醇化物。烯醇化物质子化得到最终产物。

参与反应的两个酯分子不必相同,但其中一个必须在酰基的α-碳上连有至少一个氢原子。简单的说,该反应是一个酯分子的酰基对另一酯分子的酰基α-碳原子进行的酰化反应。

混合酯缩合若用两个不同的并都含有活泼氢的酯进行酯缩合作用,理论上就可得到四种不同的产物,在制备上,没有很多的价值。因此一般进行这种混合酯缩合时,只用一个含有活泼氢的酯和个不含活泼氢的酯进行缩合经常用的不含活泼氢的酯有苯甲酸酯、甲酸酯、草酸酯、碳酸酯等 

注意:

① 如果两个酯基间少于4个碳原子,则无法发生迪克曼反应;

② 反应适合5-8元环的生成,如果合成更大的环,此反应的产率变低,宜采用其他的方法;

③ 酯缩合反应需在无水条件下完成;

④ 反应需要在强碱性条件下进行,如:乙醇钠、乙醇钾、叔丁醇钾、氢化钠等;⑤ 常用的反应溶剂为:甲苯、四氢呋喃、乙醚、无水乙醇、二甲亚砜(DMSO)、二甲基酰胺(DMF)。

合成应用

霉酚酸是高度取代的苯酞天然产物之一,具有许多体外和体内生物活性。 A. Covarrubias-Zúñiga对其收敛性全合成的合成策略是基于一个环化序列作为关键步骤,包括迈克尔加成和迪克曼缩合。用氢化钠对2-香叶基-1,3-丙酮二羧酸去质子化,随后使用受保护的炔醛进行加成而原位产生烯醇化物,接着环化以33%收率得到天然产物的六取代芳环。

(–)-galbonolide B的14元大环是利用B.Tse实验室开发的一种新型迪克曼大环化反应形成的。为了实现所需的大环内酯化,在高稀释和回流THF条件下,用LiHMDS处理二级乙酸酯,以75%收率得到了所需内酯。 然而,重要的是要注意,类似的二级丙酸酯在相同条件下不能环化。

由R.B. Grossman及其同事使用链接二酸和3-丁炔-2-酮的两次环化仅用10个步骤完成了天然存在的克罗烷二萜(±)-acacacarin合成。Sacacarin的第二个环通过一个酯和甲基酮的分子内迪克曼缩合以极好的收率进行制备。 然后使用乙醇和酸催化剂,得到的烯醇立即转化为相应的乙基烯醇醚。

反应实例

 Angewandte Chemie, International Edition, 2006 , vol. 45, # 6 p. 932 - 935

Bioorganic & Medicinal Chemistry, 2003 , vol. 11, # 7 p. 1319 - 1342

Journal of the American Chemical Society, 2005 , vol. 127, # 30 p. 10767 - 10770

Bioorganic & Medicinal Chemistry Letters, 2002 , vol. 12, # 12 p. 1607 - 1612

Chemical Communications (Cambridge, United Kingdom), 2002 , # 23 p. 2910 - 2911

如需查看更多人名反应信息或查询相关参考文献,请使用摩熵化学(MolAid)人名反应功能,此模块收录了1000+化学界已被认可和提及的有机化学反应助力您深入理解化学反应的本质,从而高效合成目标化合物。

【免责声明】发布内容来源于互联网、业内人士投稿以及微信公众号等公开资源,我们对文中观点持中立态度,文中观点不代表本平台的立场。所有文章仅供读者参考和交流使用。转载的文章版权归原作者所有,如有侵权行为,请及时与我们联系以便删除。

<END>