接口广告
摩熵化学
数据开放平台 数据库官网
小程序
打开微信扫一扫
首页 分子通 化学资讯 化学百科 反应查询 关于我们
请输入关键词

当羧酸遇见叠氮化物,揭秘 Curtius 重排(库尔修斯反应)的 “重排密码”

  • 重排反应
  • 异氰酸酯
  • Curtius rearrangement
摩熵化学 2025/05/27

自从 1864 年 Peter Griess开发出第一个有机叠氮化合物——苯基叠氮,至今为止已经有近 160 多年的历史。随后,Curtius 开发出了 HN3,并由此发现了羧酸与叠氮化物作用生成的酰基叠氮可以重排为异氰酸酯 (Curtius 重排)。

以酸或者酰卤作为反应底物,引发形成的酰基叠氮中间体在加热条件下,释放氮气,发生亲核性重排形成异氰酸酯的一类反应称为Curtius重排。也叫做Curtius rearrangement(库尔修斯重排)。

它是一类亲核重排反应,其中原位生成的异氰酸酯可以与各种亲核试剂反应,直接水解得到伯胺,也可得到氨基甲酸酯,脲等各种N-酰基衍生物。该机制包括随着氮气的释放,R基团从羰基碳向最接近氮上的烷基转移。气体的释放推动反应进行,并最终形成异氰酸酯。

Curtius重排 最早是由Curtius于1890年提出。

反应定义

Rearrangement of acyl azides to isocyanates

反应机理

Curtius重排反应机理(以酰氯为例,热重排),首先叠氮化物进攻酰氯的羰基碳原子发生亲核加成、再消去氯离子形成亲核取代产物酰基叠氮化物。

起初认为酰基叠氮化物在加热条件下放出氮气,产生亲电性氮宾(nitrene)中间体,然后氮宾保持立体构型不变的情况下进行重排反应,得到产物异氰酸酯。后来的研究证实,热分解重排过程是一个协同过程,即释放氮气和重排成异氰酸酯是同时发生的,中间并不经过形成氮宾中间体。

Curtius重排可兼容大量官能团,并可作为合成模块,通过加入不同基团与异氰酸酯反应得到不同结构,当在叔丁醇存在下进行反应会得到Boc保护胺,而当在苄醇存在下,可得到Cbz保护胺。Curtius重排经过百年发展已经有了更多的延伸,当羰基α位存在卤素或羟基时,会形成醛或酮。而叠氮试剂也由易爆叠氮化钠改为叠氮磷酸二苯酯(DPPA)。

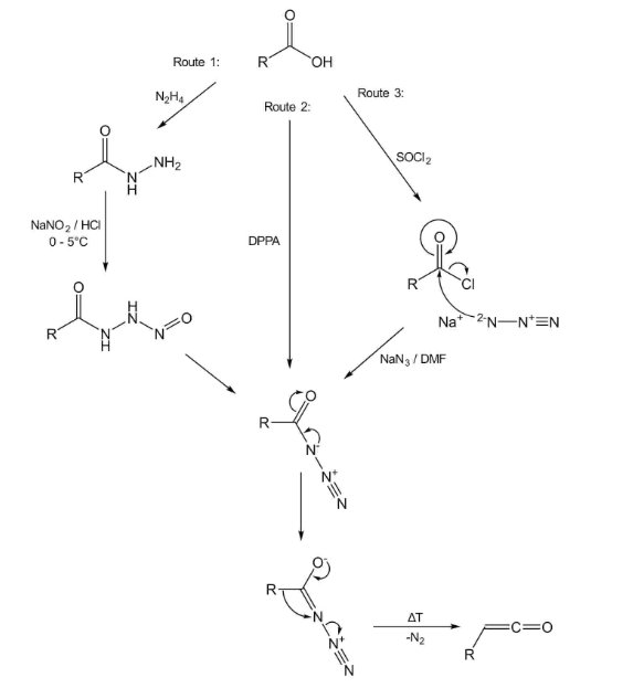
酰基叠氮制备

酰基叠氮的形成是Curtius重排反应的关键,制备酰基叠氮主要有以下三种方法。

Route 1 : 以羧酸为反应底物与肼作用得到酰肼,然后再用亚硝酸处理酰肼来制备。

Route 2 : 分子中含有对水或强酸敏感官能团的化合物可利用羧酸直接与二苯基磷酰叠氮(DPPA)反应制备。

Route 3 : 使用羧酸为底物,制备酰氯或者混合酸酐,然后酰氯或混合酸酐与碱金属的叠氮盐(如叠氮化钠)或叠氮三甲基硅烷反应制备。

起源与发展

Curtius 重排是一类广泛应用于制备异氰酸酯及其二级产物的反应,原则上可视为脱羧胺化反应。

早期的合成方法中羧酸首先转化为酰氯,进而与叠氮化钠作用形成酰基叠氮。接着,该酰基叠氮在加热条件下经过脱N2/重排历程生成异氰酸酯。随后,异氰酸酯水解或与其他亲核试剂如胺或醇反应得到伯胺、脲衍生物、以及氨基酸酯等。

后来,Shiori等人报道了一种更为温和的方法,在室温条件下使用羧酸和 DPPA (二苯基磷酰叠氮化物)直接生成酰基叠氮,可一锅法构建氨基甲酸酯或酰胺键。

最早发表:

  • Curtius, Th. Ueber Stickstoffwasserstoffsäure (Azoimid) N3H. Berichte der deutschen chemischen Gesellschaft. 1890, 23 (2), 3023–3033.

热门引用:

  • Azide Monoliths as Convenient Flow Reactors for Efficient Curtius Rearrangement Reactions. Org. Biomol. Chem 2008, 6 (9), 1587–1593.
  • Boc-Protected Amines via a Mild and Efficient One-Pot Curtius Rearrangement. Org. Lett 2005, 7 (19), 4107-4110.
  • The Curtius Reaction. In Organic Reactions; American Cancer Society, 2011; pp 337-449

人物介绍:

库尔提斯 (Theodor Curtius,1857——1928 ,德国化学家 ) ,生于德国的 Duisburg ,先后跟本生、柯尔伯学习化学,得博士学位,然后去慕尼黑在拜尔手下工作,为海德尔堡教授。 

库尔提斯发现了重氮醋酸乙酯(1883),联氨(1887),叠氮化合物(1891),吡唑啉衍生物(1891),四嗪衍生物(1906),多肽( 1904)。 库尔提斯利用酰氯和叠氮制得叠氮化酰,进一步反应制得伯胺。

合成应用

J.A.Marco等人描述了使用对映选择性Aldol加成和Curtius重排作为关键步骤的细胞因子调节剂(-)-cytoxazone的全对映选择性合成。关键中间体酸在回流条件下用DPPA和叔丁醇胺在甲苯中处理。该步骤通过自由二级醇官能团原位捕获异氰酸酯基团直接且以高收率提供唑烷酮。去除保护基团导致天然产物的形成。

D.L.Boger的实验室中,首次利用逆电子需求Diels-Alder反应完成了链霉素的首次全合成。为了引入C5吡啶酮胺基团,羧酸在苯-水溶液中暴露于Shioiri-Yamada试剂DPPA)中。随后,在THF/水溶液中用氢氧化锂进行水解,以完成到伯胺的转化。

抗毒蕈碱生物碱(±)-TAN1251A具有独特的三环骨架,由一个1,4-二氮杂双环【3.2.1】辛烷环和一个通过螺碳原子连接的环己酮环组成。Murashige等人通过应用Curtius重排将氮连接到螺碳原子上。

S.Kim等人通过相应的羧酸的curtius重排制备了胰高血糖素全合成过程中的关键氨基甲酸酯中间体。异氰酸酯中间体相当稳定,通过NaOMe/MeOH处理,以82%的总收率转化为所需的氨基甲酸酯。

反应实例

Journal of Medicinal Chemistry, 2006 , vol. 49, # 2 p. 716 - 726

Synthetic Communications, 2008 , vol. 38, # 1 p. 45 - 53

Journal of Organic Chemistry, 1999 , vol. 64, # 23 p. 8702 - 8705

Journal of Organic Chemistry, 2003 , vol. 68, # 19 p. 7274 - 7280

Journal of the American Chemical Society, 2002 , vol. 124, # 49 p. 14759 - 14769

如需查看更多人名反应信息或查询相关参考文献,请使用摩熵化学(MolAid)人名反应功能,此模块收录了1000+化学界已被认可和提及的有机化学反应,助力您深入理解化学反应的本质,从而高效合成目标化合物。

声明:以上内容仅代表作者观点,如有不科学之处,欢迎指正。

<END>