接口广告
摩熵化学
数据开放平台 数据库官网
小程序
打开微信扫一扫
首页 分子通 化学资讯 化学百科 反应查询 关于我们
请输入关键词

风湿患者救命药!【艾拉莫德】凭什么成为患者心头好?

  • 艾拉莫德
  • 类风湿性关节炎
摩熵化学 2025/05/21

类风湿关节炎 (RA)发病机制复杂,单一药物往往无法有效达到治疗目标。因此,国际指南中均推荐在单一改善病情抗风湿药(DMARD)治疗不达标时进行联合治疗,可提高疗效,降低不良反应发生率,是RA治疗的主要趋势。

最新版《2024中国类风湿关节炎诊疗指南》指出,“艾拉莫德是我国自主研发的抗风湿病药物,具有csDMARD的特征,已广泛用于RA的治疗。有证据显示,艾拉莫德与甲氨蝶呤联用治疗RA优于甲氨蝶呤单药,且安全性良好 ,可作为RA的二线治疗药物。”

艾拉莫德到底怎么用才安全?副作用大不大?治疗类风湿效果好不好?”相信这是许多类风湿关节炎患者的共同疑问。今天,我们一起来了解一下艾拉莫德,为大家解开疑惑!

分子信息:

结构信息:

分子解读:

艾拉莫德(Iguratimod),化学式C17H14N2O6S,分子量374.4,中文名称N-[3-(甲酰胺基)-4-氧-6-苯氧基-4H-1-苯并吡喃-7-基]甲烷磺酰胺【4】是一种白色粉末状药物,属于慢作用抗风湿性药物。它具有多重作用,包括抗炎、抑制免疫球蛋白和细胞因子生成、抑制骨吸收和促进骨形成,因此通常作为非处方药使用。

艾拉莫德最早在2003年由国内的天津药物研究院和#先声药业 合作研发,并在接下来的几年中,由仁济医院风湿科的协助下完成了临床研究。它于2011年和2012年8月相继在中国和日本上市,成为我国完全自主知识产权的小分子类风湿关节炎(RA)治疗药物。临床研究和实践表明,艾拉莫德能显著改善RA患者的症状和病情,适合长期使用。【1.2】

‍‍‍‍‍‍‍‍

‍‍‍‍‍商品名为艾得辛,目前在风湿免疫科广泛使用,主要用于自身免疫性疾病的治疗如类风湿关节炎、系统性红斑狼疮皮、肌炎、干燥综合征、强直性脊柱炎、间质性肺病等。同时还具有抗炎镇痛、抑制破骨细胞分化和骨吸收、促进骨细胞分化和骨形成、保护关节软骨等作用。

计算性质:

药物分类:

在类风湿关节炎治疗领域,有一种药叫做“控制病情药”,俗称DMARDs 。这类药物是治疗类风湿关节炎的核心,它能真正起到阻止关节破坏,预防疾病进展的目的。

DMARDs药物区别于激素、止痛药(非甾体类抗炎药,NSAIDs),虽然后者可以快速镇痛,达到改善症状的目的。但激素、止痛药并不能阻止类风湿的关节破坏。换言之,即使你使用了激素、止痛药,暂时把疼痛控制住了,你的关节可能还是在不断地破坏。但如果是使用了DMARDs做到了“不肿、不痛”,那类风湿病情很可能是真正的停了下来。

艾拉莫德属于“控制病情药”(DMARDs),能起到阻止类风湿病情进展,保护关节的作用。控制病情药中,如果去细分,又能细分成三类,一类叫做“传统控制病情药”,一类叫做“生物控制病情药”,也就是所谓的生物制剂;还有一类叫做“靶向控制病情药”,也就是所谓“小分子靶向药”,一般也把它叫做“口服生物制剂”。

抗风湿药的分类

上市及研发历程:

1. 中国(2011年):艾拉莫德最早在2003年由国内的天津药物研究院和先声药业合作研发,于2011年获中国国家药品监督管理局(NMPA)批准上市。说明书适应症是活动性类风湿关节炎。2017年被纳入中国国家医保。正大清江于2024年6月拿下该品种国内首仿+首家过评,扬子江药业的艾拉莫德片于2025年3月获批上市,为国内第2家仿制+第2家过评。

2. 日本(2012年):艾拉莫德在日本于2012年6月获日本药品与医疗器械管理局(PMDA)批准上市,用于治疗类风湿关节炎,成为日本首个获批的合成小分子抗风湿药物。

3. 美国与欧洲:截至目前,艾拉莫德尚未获得美国FDA或欧洲EMA的正式批准。2021年开展的III期临床试验(NCT04663737)旨在评估其在美国RA患者中的疗效与安全性,结果尚未公布。

4. 韩国(2024年):2024年3月,韩国食品药品安全部(MFDS)批准艾拉莫德上市,成为继中国、日本后第三个批准该药物的国家。

作用机制:

艾拉德莫‬作为一种新型的传统合成抗风湿药(csDMARDs),兼具抗炎与免疫调节双重机制,可抑制IL-6、TNF-α等炎性因子生成,同时延缓骨侵蚀并促进骨形成。临床数据显示,其与甲氨蝶呤联用2-4周即可起效,患者缓解率超60%,且肝毒性和感染风险显著低于传统药物,长期耐受性更优。

其具有明确的免疫调节作用和全面的骨保护作用,作用机制全面,兼顾疗效与安全,适合用于类风湿关节炎的联合治疗和长期维持治疗。与其他传统DMARDs相比,艾拉莫德能显著降低患者类风湿因子、抗CCP抗体水平,还能有效阻止骨质破坏,降低类风湿关节炎的致残致畸性。这独‬特机制使其在‬节炎的治疗中表现出色‬,成为许患多‬者的优选物药‬。

艾拉莫德‬主要功效:

1. 抑炎制‬症——艾拉莫德通抑过‬制炎因症‬子如TNF-α、IL-1β等的产生,有‬效减轻关节的炎症反应。对‬于类湿风‬性关节患炎‬者,它能显著解缓‬关节肿胀和疼痛。

2. 骨保护——可抑制破骨细胞生成和促进成骨细胞分化,保护骨骼。3. 调节免疫——可提高ACR20反应率,降低IgG、IgA、IgM水平,调节免疫反应。

艾拉莫德与csDMARD中的“前辈”如甲氨蝶呤、来氟米特等相比,具有独特之处:

①具有骨保护作用——RA常合并骨质疏松症,艾拉莫德兼具抗炎、抗风湿和骨保护作用,合并骨质疏松症的患者使用可“一箭双雕”。

②安全性相对较高——相比于甲氨蝶呤等药物,艾拉莫德不属于“细胞毒药”,也不属于“免疫抑制剂”,引起肝功能异常和感染的风险相对较小,适合需长期治疗的患者。

不过,艾拉莫德还是存在csDMARDs共同的缺点——起效较慢,需坚持用药4~6周见效,3~6个月达到最佳效果,使用艾拉莫德时要耐心一点!

临床试验结果:

艾拉莫德四期临床研究,发表在柳叶刀子刊上,四期研究的主要结论与数据:

①艾拉莫德单药或联合治疗活动性RA疗效较好,治疗24周后ACR20达70%以上。(ACR20,是一种缓解率指标,用于评估类风湿的缓解情况)

②艾拉莫德单药或联合治疗活动性类风湿安全性高,与艾拉莫德有关的不良事件发生率仅为0.7%,且在老年患者和非老年患者中安全性数据基本一致。

临床使用下来,相较于甲氨蝶呤、来氟米特——艾拉莫德的感染风险更低,针对反复感染(比如反复支气管炎、肺炎、带状疱疹的人群)的具有优势。同时,较之这两种药物,艾拉莫德肝功能异常发生率较低,降低球蛋白效果满意——针对存在这样问题的人群,我们也经常考虑使用艾拉莫德作为治疗的主力药物之一。

除此之外,艾拉莫德治疗干燥综合征的研究较多,效果在同类药中属于“拔尖”水平。对于经常合并干燥综合征的类风湿来说,我们也常常会考虑使用艾拉莫德。

反应信息:

合成与制备:

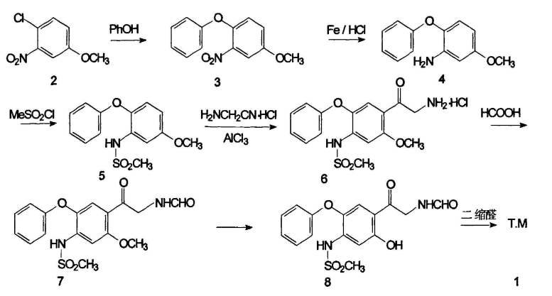
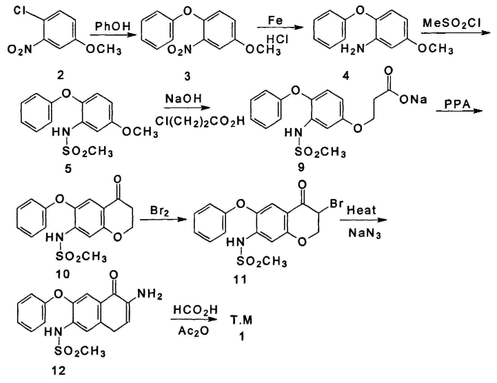
文献报道的艾拉莫德合成路线主要有三条,均以4-氯-3-硝基苯甲醚为起始原料:

1. 第一条路线从起始原料4-氯-3-硝基苯甲醚开始,经亲核取代、硝基还原、甲磺酰化.盖特曼-科赫、酰化、甲氧基水解和环合,共7步反应制备艾拉莫德。该合成路线较短,反应条件温和,操作简便,收率高达37.7%,易于工业化生产。该反应路线如下【3】

2. 第二条合成路线以2为起始原料,经醚化得3后,先进行硝基还原、甲磺酰化,得5。再经付-克乙酰化、脱甲基、溴代,与乌洛托品成盐。再经水解、甲酰化、环合,得到化合物1。反应步骤较长,反应条件复杂,且收率仅17.0%。该反应路线如下【3】

3. 第三条路线从起始原料2开始,经醚化、脱甲基、还原、甲磺酰化、氧基化、付克酰化、脱氢、卤代、胺化及甲酰化等10步反应,得到目标产物T-614。总收率小于5.0%。该路线相对较长,且反应条件苛刻,要经历脱、卤化,叠化和加还原等难度较大的单元操作,得率低,不适宜今后的工业化生产。【3】

2022年,重庆圣华曦药业股份有限公司申请了艾拉莫德的合成专利:该发明公开了一种新的艾拉莫德制备方法,以N-(5-甲氧基-2-苯氧苯基)甲磺酰胺和N-邻苯二甲酰甘氨酰氯为原料,经过酰化,脱甲基,环合,脱保护,甲酰化得到艾拉莫德。该方法收率高,中间体易于分离纯化,最终所得成品纯度高,收率高。

结束语:

这些研究数据表明,艾拉莫德在类风湿性关节炎的治疗中具有重要地位。然而,是否需要长期服用,还需根据个体病情的严重程度、疾病的进展情况以及对药物的反应等多种因素来确定。

参考资料:

[1] 艾拉莫德药品说明书.

[2] 田新平,刘升云,李芹,等. 艾拉莫德或来氟米特联合甲氨蝶呤治疗活动性类风湿关节炎的疗效和安全性比较:一项多中心,随机,双盲,双模拟对照的临床研究[J]. 中国风湿病学杂志. 2020, 24(3):148-158.

[3] 艾拉莫德的合成研究.

[4] 摩熵化学.化合物检索及合成设计平台.[DB/OL].https://chem.molaid.com/home.[1990-2025]

声明:以上内容仅代表作者观点,如有不科学之处,欢迎指正。

<END>