接口广告
摩熵化学
数据开放平台 数据库官网
小程序
打开微信扫一扫
首页 分子通 化学资讯 化学百科 反应查询 关于我们
请输入关键词

有机人名反应之 Corey - Kim (科里-金)氧化,你掌握了吗?

  • 有机人名反应
  • 氧化反应
  • Corey-Kim
摩熵化学 2025/04/29

Corey-Kim(科里-金)氧化反应指N-氯代丁二酰亚胺/二甲硫醚(NCS/DMS)生成的锍鎓离子与醇作用后,再经碱处理可氧化得到醛或酮。该反应条件温和,适用于很多敏感底物,有显著的溶剂效应,一般是在甲苯中进行反应,用更大极性的溶剂(二氯甲烷/二甲亚砜)会导致副产物甲硫醚的产生。对于烯丙醇和苄醇,该反应能高产率地获得相应的氯代物。

此反应由E.J. CoreyC.U. Kim 在1972年发现。反应中生成的活性试剂, S,S-二甲基琥珀酰亚胺氯化锍称为Corey-Kim试剂。

Corey-Kim氧化与Swern氧化相类似,但是Swern氧化采用的是DMSO作为氧化剂,Corey-Kim氧化使用NCS作为氧化剂。这两种氧化方法经历了共同的活性物种,即氯代的硫鎓离子 ,经过直接或间接的方式,硫鎓离子转移到醇上,形成氧代硫鎓离子。硫鎓离子的α-H被三乙胺夺取,发生分子内质子转移消除,得到酮。

反应定义

Oxidation of primary and secondary alcohols via their alkoxysulfonium salts to aldehydes and ketones

反应机理

Corey - kim氧化离子反应机理的第一步是二甲基硫与N -氯代丁二酰亚胺反应,生成亲电活性物种S,S二甲基丁二酰亚胺硫酰氯( Corey - Kim试剂)。然后用亲核醇攻击硫鎓盐,得到烷氧基硫鎓盐。这种烷氧基硫鎓盐被三乙胺去质子化并形成所需的羰基化合物。二甲基硫可再生,在真空中易从反应混合物中除去。NCS与二甲硫醚生成类似的氧化活性中间体。

N-氯代丁二酰亚胺是活化剂。大部分伯醇和仲醇都可以氧化为相应的醛酮,但是烯丙醇和苄醇在无碱条件下经过反应主要得到相应的氯代物。

  • 试剂:N-氯代琥珀酰亚胺(NCS)、二甲硫醚(DMS)、三乙胺 (TEA)、溶剂(甲苯或 CH2Cl2)
  • 反应物:伯醇或仲醇
  • 产物:醛或酮
  • 反应类型:氧化反应
  • 优点:反应条件温和,适用于很多敏感底物。

注:

①十二烷基甲基硫醚可以代替DMS用于该反应;

②烯丙醇和苄醇主要转化为相应的烯丙基和苄基卤化物;

③一般主要在甲苯中进行,在极性溶剂中,可能发生副反应,导致醇形成相应的甲硫甲基醚(ROCH2SCH3)。

合成应用

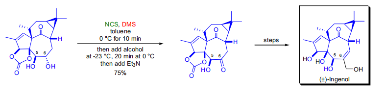
I.Kuwajima 和他的同事合成(士)-ingenol 过程中,利用 Corey-Kim 氧化法将一个先进的三环二醇中间体有选择性的转化成了相应的 a-酮。这个二醇位阻最小的 C6 羟基基团被氧化。

图片来源:人名反应的战略性应用

M.E. Kuehne 等合成(±)-cephalotaxine 过程的最后阶段,一个四环的顺式邻二醇被氧化成 a-二酮。用 PCC,嘧啶/SO3;或者 Swern 方案不能得到期望的产物。然而,通过用 Corey-Kim方案,NCS-DMS 在二氯甲烷中-42℃下,产生的二酮产率为 89%。

图片来源:人名反应的战略性应用

S.E.Denmark 的实验室,通过用对映体选择性的丙烯基化的手性 biphosphoramide,合成了血清素的天敌 LY426965。为了准备必需的 3,3-二取代的氣代硅烷试剂,(E)-丙烯基醇首先就是用 Corey-Kim 过程转化成相应的氯化物的。

图片来源:人名反应的战略性应用

反应实例

Bulletin of the Chemical Society of Japan, 1991 , vol. 64, # 1 p. 50 - 56

图片来源:摩熵化学(MolAid)

Journal of the American Chemical Society, 2007 , vol. 129, # 41 p. 12414 - 12415

图片来源:摩熵化学(MolAid)

Canadian Journal of Chemistry, 1984 , vol. 62, p. 1622 - 1627

图片来源:摩熵化学(MolAid)

Bulletin of the Korean Chemical Society, 2011 , vol. 32, # 2 p. 411 - 416

图片来源:摩熵化学(MolAid)

Journal of Organic Chemistry, 1982 , vol. 47, # 27 p. 5250 - 5255

图片来源:摩熵化学(MolAid)

如需查看更多人名反应信息或查询相关参考文献,请使用摩熵化学(MolAid)人名反应功能,此模块收录了1000+化学界已被认可和提及的有机化学反应,助力您深入理解化学反应的本质,从而高效合成目标化合物。

声明:以上内容仅代表作者观点,如有不科学之处,欢迎指正。

<END>