接口广告
摩熵化学
数据开放平台 数据库官网
小程序
打开微信扫一扫
首页 分子通 化学资讯 化学百科 反应查询 关于我们
请输入关键词

抗神经痛药物!普瑞巴林的研发脉络与合成工艺解析!

  • 合成路线
  • 药物化学
  • 普瑞巴林
  • 加巴喷丁
摩熵化学 2025/09/15

普瑞巴林(Pregabalin)是一种在治疗神经性疼痛等领域具有重要地位的药物。主要用于缓解与治疗神经性疼痛包括糖尿病周围神经病变神经痛(DPN)、带状疱疹后神经痛(PHN)、脊髓损伤相关神经痛、纤维肌痛相关神经痛以及4岁及以上患者癫痫部分发作的治疗。

普瑞巴林信息 图片来源:摩熵化学(MolAid)

普瑞巴林研发历程

普瑞巴林结构简单,是γ-氨基丁酸(GABA)的类似物,它的发现充满偶然。其研发背景与神经递质 γ- 氨基丁酸(GABA)密切相关。GABA 作为人体内一种关键的神经递质,作用于 GABA 受体,对维持人体正常生理状态至关重要。当人体缺乏 GABA 时,会引发焦虑、疲倦、忧虑等不良情绪。

在 20 世纪 80 年代,Silverman 实验室重点聚焦于 GABA 转氨酶的研究。GABA - AT 的主要功能是降解 GABA。Silverman 最初的设想是合成一系列 GABA 类似物作为该酶的抑制剂,从而发现抗惊厥、帕金森、阿尔兹海默病、亨廷顿病的化合物。

作为 GABA-AT 抑制剂的间氨基苯甲酸类似物的设计、对接模拟、合成以及体外和体内行为评估

癫痫作为一种常见且复杂的神经系统疾病,也与 GABA 紧密相连。癫痫是以复发性惊厥性癫痫发作为特征的疾病,其发病原因多种多样。尽管有研究表明,将 GABA 直接注射到大脑中可以终止癫痫发作,但口服与静脉注射 GABA 却无法达到相同效果。这是因为 GABA 是一种极性较大且带电的小分子化合物,难以穿透血脑屏障进入脑部发挥作用。因此,研发脂溶性更强的 GABA 类似物,使其能够顺利通过血脑屏障,成为治疗癫痫的一个重要研究方向。

从 1980 年至 1988 年,Silverman 实验室按照既定思路不断设计合成 GABA - AT 抑制剂。令人遗憾的是,这些化合物对 GABA - AT 的选择性较为薄弱,并且对 L - 谷氨酸脱羧酶(GAD)也表现出抑制作用。而 GAD 恰恰是负责生产 GABA 的关键酶,这就导致这些化合物既抑制了 GABA 的分解,又阻碍了其生成,显然不符合理想药物的标准。

谷氨酸脱羧酶及其应用

1988 年,研究迎来了重要转机。Silverman 组的博士后Ryszard Andruszkiewicz 合成了七种 3 - 烷基 GABA。对这些化合物分别进行针对 GABA - AT 和 GAD 作用的测试。结果显示,它们对 GABA - AT 仅有微弱的抑制作用,但对 GAD 具有活化作用,这意味着它们能够提高体内 GABA 的水平。达成目的后Silverman 意识到,多年来研究失败的根源在于错误地选择了 GABA - AT 作为靶点,而新合成的这些具有积极效果的化合物,真正起作用的靶点可能是 GAD。

在研究过程中也存在一个令人疑惑的问题,即对 GAD 活化最强的化合物(R) - 3 - 甲基 GABA,其药效却不如(S) - ( + ) - 3 - 异丁基 GABA。科学家们对此展开深入研究。在这个过程中,不得不提及另一种已上市药物 —— 加巴喷丁(gabapentin)

加巴喷丁信息 图片来源:摩熵化学(MolAid)

加巴喷丁于 1993 年被美国 FDA 批准上市用于治疗癫痫,同样属于 GABA 的类似物,并且对 GAD 有活化作用。1996 年,Parke–Davis 的科学家发现了加巴喷丁的靶点,其作用机制是作用于中枢神经(CNS)电压依赖性钙通道的 α2 - σ 亚基蛋白,通过抑制该蛋白,减少神经末梢的去极化与 Ca²⁺内流,进而减少谷氨酸盐、去甲肾上腺素、P 物质和降钙素基因相关肽(calcitonin gene - retated peptide,CGRP)等兴奋性神经递质的释放。

后续研究表明,普瑞巴林也是通过类似机制发挥作用的。至此,真相逐渐明晰,原来普瑞巴林真正的作用靶点与最初研究的 GABA - AT 和 GAD 均无关联。

普瑞巴林ADMET信息 图片来源:摩熵化学(MolAid)

普瑞巴林合成路线

普瑞巴林的合成关键在于 C-3 位手性中心的构建,目前文献报道的合成策略主要分为外消旋体拆分法和不对称合成法。

下面简单介绍几条合成路线

合成路线一:

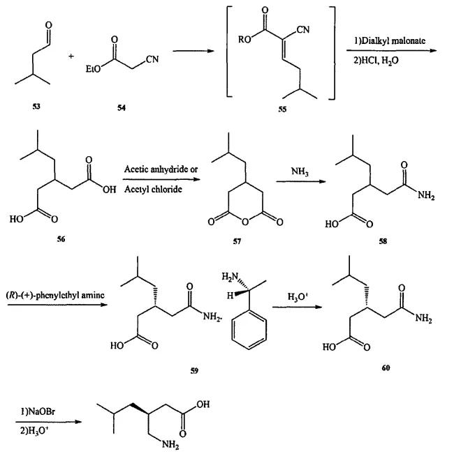
以异戊醛和氰乙酸乙酯为原料, 经 Knoevenagel缩合生成 (Z)-2-氰基-5-甲基-2-烯-己酸乙酯, 再与丙二酸二乙酯发生 Michael加成、水解脱羧生成3-异丁基戊二酸,用乙酸酐脱水环化生成3-异丁基戊二酸酐,后者在氨水中水解生成3-氨甲酰甲基一己一甲基己酸,Hofmann重排后得到消旋普瑞巴林,最后经S-扁桃酸拆分得到普瑞巴林,光学纯度为99.8%

合成路线二:

以 Boc 保护的甘氨酸作为无痕激活基团,3-甲基亚丁基丙二酸酯作为原料,在光介导催化剂 1mol%Ir[dF(CF3)ppy]2(dtbbpy)+、K2HPO4、DMF 和 26WCFL的作用下进行反应,以96%的收率得到对应的丙二酸酯。在碱性条件下水解,随后用酸回流促进脱羧得到普瑞巴林。

合成路线三:

Sammis以 Salen-A1为催化剂、TMSCN 为氰源、醇类物质为反应溶剂,与 a,β-不饱和酸的衍生物发生不对称 Michael 加成反应,反应收率较高。在最佳条件下,以9为催化剂合成普瑞巴林的重要前体S构型的化合物,然后经水解、还原可得到盐酸普瑞巴林。

合成路线四:

Huckabee提出使用氰基乙酸乙酯与异戊醛作为原料,催化之后,发生缩合加成、酸化脱羧等反应,得到酸酐,后经过氨解反应,得到3-(氨甲酰甲基)-5-甲基已酸,使用(R)-1-苯基乙胺进行拆分,得到的手性产物发生霍夫曼重排反应,即可得到纯度较高普瑞巴林,收率为60.55%,该方法工艺成熟,操作简单,适合用于工业生产。

普瑞巴林作为首个被美国FDA批准用于糖尿病周围神经病变和带状疱疹后神经痛的药物,也是目前最畅销的镇痛药。从2014-2018年,销售业绩始终保持在50亿美元以上,2019年为35亿美元销售额,是名副其实的“重磅炸弹”。未来,期待普瑞巴林在更多领域持续发挥作用。

【免责声明】发布内容来源于互联网、业内人士投稿以及微信公众号等公开资源,我们对文中观点持中立态度,文中观点不代表本平台的立场。所有文章仅供读者参考和交流使用。转载的文章版权归原作者所有,如有侵权行为,请及时与我们联系以便删除。

<END>