接口广告
摩熵化学
数据开放平台 数据库官网
小程序
打开微信扫一扫
首页 分子通 化学资讯 化学百科 反应查询 关于我们
请输入关键词

降压 “神药” 利血平(reserpine)的化学合成!

  • 合成路线
  • 利血平
  • Woodward
  • 利血平全合成
摩熵化学 2025/08/08

利血平作为一种重要的生物碱类药物,在医药领域占据着独特且关键的地位。自其从萝芙木属植物中被成功提取并应用于临床以来,利血平凭借其稳定的降压效果,成为高血压治疗的一线药物,为无数高血压患者带来了健康的希望。

利血平的降压作用机制主要是通过耗竭周围交感神经末梢的去甲肾上腺素,以及心、脑及其他组织中的儿茶酚胺和 5 - 羟色胺贮存,从而达到降低血压、减慢心率和抑制中枢神经系统的作用。

利血平的介绍

利血平(Reserpine),化学名称为 11,17-dimethoxy-18-[(3,4,5-trimethoxybenzoyl)oxy]yohimban-16-carboxylic acid methyl ester,是一种吲哚型生物碱 ,其分子式为C33H40N2O9,分子量 608.68。从结构上看,利血平拥有一个复杂而独特的多环体系,由吲哚环、四环的育亨烷骨架以及多个甲氧基和酯基构成。

图片来源:摩熵化学(MolAid)

其中吲哚环是利血平发挥药理活性的重要组成部分,它参与了与体内多种生物靶点的相互作用,对利血平的降压、调节神经系统等功能起着关键作用。四环的育亨烷骨架则赋予了利血平特定的空间构象,其决定了利血平能够精准地作用于体内的相关生理靶点,从而发挥出相应的药理作用。多个甲氧基和酯基的存在不仅影响了利血平的物理化学性质,如溶解性、稳定性等。

利血平分子中存在 6 个手性中心,这些手性中心的存在使得利血平具有多个立体异构体,不同的立体异构体在空间排列上存在差异,进而导致它们与生物靶点的相互作用方式也有所不同。

图片来源:摩熵化学(MolAid)

这种立体化学的差异使得不同立体异构体的生物活性、毒性等性质可能存在显著差异,只有特定构型的利血平才具有理想的药理活性和安全性。

色氨酸(Tryptophan)是生物体内利血平生成中的起始物质,通过色胺脱羧酶转化为色胺(Tryptamine),将色胺与断马钱子苷二甲基缩醛(Secologanin)在异胡豆苷合成酶的存在下得到异胡豆苷(Strictosidine)。再经其他酶作用产生利血平。

利血平的合成

1. 天然提取法

利血平主要从萝芙木属(Rauvolfia)植物中提取,如蛇根木(Rauvolfia serpentina)、萝芙木(Rauvolfia verticillata)等 。

萝芙木在我国主要分布于广东、广西、海南、云南等地,多生长于坡地、林边、旷野潮湿处及灌木丛中,适应于热带和亚热带气候,对土壤要求不高,但以疏松、肥沃的土壤为宜。萝芙木属植物富含多种生物碱,利血平是其中最为重要的一种。

利血平的天然提取工艺通常包括渗漉、萃取、精制等多个关键步骤,每个步骤都对最终产品的质量和收率有着重要影响。在传统的药物提取领域,这种天然来源的药物往往被认为具有更好的生物相容性和安全性,能够减少患者对合成药物的担忧。提取工艺相对较为简单,不需要复杂的化学反应和特殊的设备,在一定程度上降低了生产成本和技术门槛。

然而,天然提取法也存在诸多不足之处。植物中利血平的含量较低,一般在 0.1% - 0.5% 之间,这就需要大量的植物原料才能提取得到足够量的利血平。随着市场需求的增加,对植物资源的过度采集可能导致生态环境的破坏,影响生物多样性。

2. 化学合成法

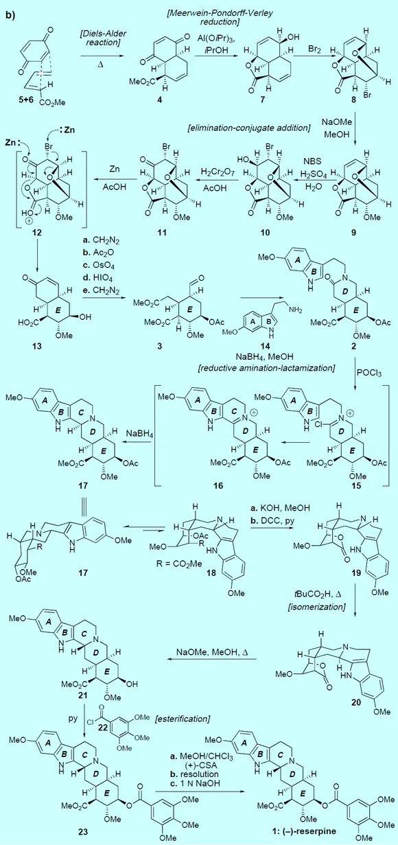
Woodward 路线是利血平化学合成领域的经典路线,以 Diels - Alder 缩合为关键反应,展现了有机合成化学的高超技艺和巧妙构思。1954 年,在利血平结构被阐明仅仅一年后,Woodward 等化学家就成功完成了其首次全合成.

这一成果在有机合成史上具有重要的里程碑意义,为后续利血平的合成研究奠定了坚实的基础。该路线以 1,4 - 对苯二醌和戊二烯酸为起始原料,在特定的反应条件下,二者发生 Diels - Alder 缩合反应,生成具有顺式稠合双环结构的加成物。

2005年Stork研究小组通过立体特异性和立体选择性成功地合成出(±)-利血平和(-)-利血平,同样他们首先通过4种不同的方法合成出五个手性中心的非色胺单萜化合物(Ⅱ),再与色胺(Ⅰ)反应,如果在反应体系中加入KCN 后,会生成氨基腈(Ⅲ),氨基腈(Ⅲ)在CH3CN 中加热条件下会转化成(-)-利血平中间体,如果换成10%的1mol/LHCl-THF溶液在室温下就可以90%转换成(±)-利血平中间体。

2013年Jacobsen研究小组研究发现利用手性控制催化剂来控制aza-Diels-Alder 反应合成出(+)-利血平,手性控制催化剂主要是来控制生成的C3位的立体构型。

5-甲氧基色胺采用Fischer吲哚合成法。Fischer合成法的反应原理是将醛、酮或酮酸类(含α-亚甲基)的苯腙类衍生物在酸或无水金属盐催化作用下经分子内缩合、σ-迁移重排及脱氮、环化等过程,最后合成吲哚结构化合物,常用的催化剂有氯化锌、三氟化硼、多聚磷酸等,常用的酸有乙酸、HCl、三氟乙酸等。

其反应机理为:

利血平的逆合成分析

摩熵化学的利血平逆合成方案  图片来源:摩熵化学(MolAid)

结语

通过D-A反应构建多取代的六元环,利用底物进行立体化学控制从而构建E环,通过锁定中间产物的构象实现差向异构化。利血平的合成路线作为全合成历史上的经典路线之一,有很多值得我们学习的地方。

利血平作为一种具有重要历史和现实意义的药物,在未来的研究和应用中仍具有广阔的发展前景。通过不断解决研究中存在的问题,持续推进技术创新和应用拓展,利血平有望在医药、农业、生物科学等多个领域发挥更大的作用,为人类的健康和社会的发展做出更大的贡献。

声明:以上内容仅代表作者观点,如有不科学之处,欢迎指正。

<END>