接口广告
摩熵化学
数据开放平台 数据库官网
小程序
打开微信扫一扫
首页 分子通 化学资讯 化学百科 反应查询 关于我们
请输入关键词

Corey-Bakshi-Shibata (科里-巴克什-柴田)还原反应

  • 有机人名反应
  • CBS还原
摩熵化学 2025/04/22

Corey-Bakshi-Shibata(科里-巴克什-柴田)还原反应,简称CBS还原,也称Itsuno-Corey还原,是酮在手性硼杂唑烷(CBS催化剂)和乙硼烷的醚溶液催化下被立体选择性还原为醇的有机反应。反应以发现者E. J. Corey、R. K. Bakshi 和S. Shibata(柴田)的名字命名。

目前临床所用的药物,很大一部分也具有手性。手性醇更是一类重要的手性化合物,它是合成手性药物,天然产物等的重要的中间体。而 CBS 还原具有较广的底物适用性,很多官能团在该还原中都具有较好的稳定性。酮还原成醇是有机化学中最基本的反应之一,而最常见的试剂是B 和Al 还原剂,传统的一些B 和Al 还原剂都能将酮还原成醇,并得到高收率。

反应定义

Enantioselective reduction of ketones to produce chiral, non-racemic alcohols

图片来源:摩熵化学(MolAid)

反应机理

图片来源:摩熵化学(MolAid)

反应机理表明此反应的高对映异构选择性和高反应速率,只受CBS催化剂的影响。此催化剂既作为手性助剂也作为 Lewis 酸参与反应,也就是说,硼作为路易斯酸参与反应活化酮,氮作为路易斯碱活化还原剂硼烷。(参考:J. Org. Chem. 1993, 58, 799.)。

首先硼烷先和CBS催化剂的氮原子络合,CBS催化剂-硼烷络合物通过环内硼原子和酮的孤电子对配位(孤电子对在空间上更加接近酮的较小的取代基)。此时酮和配位硼烷空间位置接近,处于顺式位置。通过六元环过渡态完成氢转移。最后通过可能的两种路径完成催化剂循环。

CBS 试剂是一种由脯氨酸制备而来的手性催化剂(又称 Corey 硼杂恶唑烷)。与硼烷 (BH₃) 搭配,这个催化系统可以快速高效地还原酮、酰亚胺、亚胺,甚至用于不对称 Diels–Alder 和 [3 + 2] 环加成反应。此催化剂有反应快,操作简便、产率高、对映选择性好、催化机理明确以及产物构型可以准确预测等特点,在复杂化合物的合成中得到广泛应用,用于还原q,B-不饱和酮时,会选择性的进行1,2-还原反应。

Me-CBS催化剂的优点:

(1)容易制备;

(2)对空气和水相对较稳定;

(3)反应时间短;

(4)立体选择性高;

(5)收率高;

(6)易于回收;

(7)易于预测产物绝对构型。

可以高立体选择性、高收率的还原酮,广泛应用于前手性酮的不对称还原反应,还适用于手性合成α-羟基酸、α-氨基酸、C2对称二茂铁二醇、炔丙基乙醇。

此外,在前列腺素E1、dysidiolide、冈田酸全合成中均用到了(R)-2-甲基-CBS-恶唑硼烷催化的还原反应。

发展历程

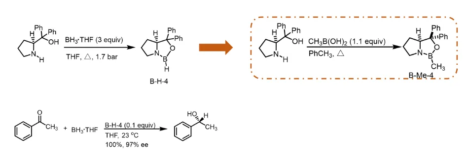
1987年,Elias J.Corey教授及其团队报道了一种二苯基脯氨醇行生的手性噁唑硼烷B-H-4。使用B-H-4作为手性催化剂,BH3·THF作为还原剂,苯乙酮在室温下能以几乎定量的收率和优异的对映选择性得到手性二级醇产物。由于B-H-4对氧气和水汽均较为敏感,导致高效制取及分离困难。后续的研究发现,B原子甲基化的B-Me-4可以规避这些问题,合成的安全性也有所提高。

1973年,美国斯坦福大学的 Hary S.Mosher 教授将过量的手性4-二甲氨基-3-甲基-1,2-二苯基-2-丁醇(Darvon醇)与LiAIH4混合,原位制得的手性氢化铝混合物能以中等的对映选择性 (60%-70%)实现苯乙酮、1-苯基-1-丁酮等芳香酮的还原氢化。研究表明,手性氢化铝的制备方式会影响最终产物的立体构型。

日本名古屋大学(Nagoya University)的Ryoji Noyori 教授则参考此前手性双齿膦配体 BINAP 的设计理念,将等物质的量的LiAIH4、光学纯的2,2'-二羟基-1,1'-联萘(BINOL)及醇(MeOH或 EtOH)混合,得到具有手性联萘骨架结构的BINAL-H。相比Darvon醇衍生的手性氢化铝混合物,BINAL-H 具有明确的分子结构可用于芳香酮、炔基酮、烯基酮等不同结构酮甚至部分氘代醛的不对称还原,产物的对映选择性也进一步提高。不过,这种反应体系同样存在一定的局限性,仍旧需要使用化学计量的手性BINOL,成本较高,不适合大规模的合成过程。

1981年,S.ltsuno和合作者首先报道了当量的手性氨基醇和硼烷-四氢呋喃络合物(BH3·THF)还原非手性酮为相应的手性二级醇,具有中等的对映体过量值(最高60%)和高产率。

合成应用

B.W. Spur 实验室利用双组分耦合过程实现了不对称全合成前列腺素 E1。在 Corey'sCBS 催化剂组存在下用 catecholborane 经不对称催化还原γ-碘乙烯酮制备目标产物的羟基侧链。该还原过程得到 95 %的产量和>96 % ee 。在低温下与使用 B-n-丁基催化剂时得到了最好的结果。竞争非催化还原,由于B-甲基催化剂给予较低的对映体过量,并在更高的温度下 ee 下降。

图片来源:人名反应的战略性应用

E.J.Corey 和合作者合成 cdc25A 蛋白磷酸酶抑制剂 dysidiolide 对映体。在总合成的最后阶段,侧链的二级醇,是在(S)-B-甲基 CBS催化剂存在下,用硼-二甲基高度选择催化还原得到。最后,光化学氧化产生y-hydroxybutenolide功能 。这个全合成证实绝对立体 dysidioliden。

图片来源:人名反应的战略性应用

C.J. Forsythetal. 全合成 okadaic 酸的最后阶段,1,6 -二氧[4,5]癸环系统,用 S-CBS/BH3不对称还原C16 的羰基然后酸催化得到spiroketalization 。

图片来源:人名反应的战略性应用

反应实例

Bioorganic and Medicinal Chemistry Letters, 2010 , vol. 20, # 2 p. 694 - 699

图片来源:摩熵化学(MolAid)

journal of Organic Chemistry, 2006 , vol. 71, # 22 p. 8641 - 8643

图片来源:摩熵化学(MolAid)

Organic Letters, 2006 , vol. 8, # 19 p. 4247 - 4250

图片来源:摩熵化学(MolAid)

Journal of Organic Chemistry, 2007 , vol. 72, # 13 p. 4851 - 4855

图片来源:摩熵化学(MolAid)

Bioorganic and Medicinal Chemistry Letters, 2010 , vol. 20, # 15 p. 4593 - 4597

图片来源:摩熵化学(MolAid)

如需查看更多人名反应信息或查询相关参考文献,请使用摩熵化学(MolAid)人名反应功能,此模块收录了1000+化学界已被认可和提及的有机化学反应,助力您深入理解化学反应的本质,从而高效合成目标化合物。

声明:以上内容仅代表作者观点,如有不科学之处,欢迎指正。

<END>