接口广告
摩熵化学
数据开放平台 数据库官网
小程序
打开微信扫一扫
首页 分子通 化学资讯 化学百科 反应查询 关于我们
请输入关键词

追寻罪案踪迹的奇妙光芒:一文解密鲁米诺的 “探案” 原理

  • 光化学反应
  • 鲁米诺
  • 化学发光试剂
SDSZ焓变社 2025/10/05

在影视作品或侦探小说中,我们经常会看到调查人员在犯罪现场使用特殊试剂进行检测。“关灯,喷药,瞬间闪现幽蓝冷光”,犯罪现场的血迹,即使被擦得一干二净,也逃不过它的眼睛。这不是魔法,而是法医破案的终极外挂:鲁米诺试剂!今天我们就来揭秘,这种能让血迹“开口说话”的神奇化学物质,到底藏着什么秘密?

鲁米诺试剂

鲁米诺(luminol),又名发光氨,化学名称为3-氨基-苯二甲酰肼。常温下是一种黄色晶体或者米黄色粉末,是一种比较稳定的人工合成的有机化合物。化学式为C8H7N3O2。它最著名的特性是在氧化剂(如H2O2)和催化剂(如Fe2+、Cu2+)存在下发出“蓝色荧光”(波长约为425 nm)

对于在犯罪现场肉眼无法观察到的血液,鲁米诺试剂可以显现出极微量的血迹形态(潜血反应),同时鲁米诺是一种较强的弱酸,对眼睛、皮肤、呼吸道有一定刺激作用。鲁米诺广泛应用于刑事侦查、生物工程、化学示踪等领域。 法医学上,鲁米诺反应可以鉴别经过擦洗,时间很久以前的血痕。生物学上则使用鲁米诺来检测细胞中的铜、铁及氰化物的存在。

那么他究竟是怎么让血液 “发光”的呢?

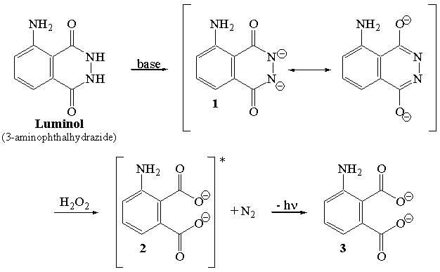
发光反应的机理

鲁米诺只有用氧化剂处理过才会发光。通常使用过氧化氢(H2O2)和氢氧化物碱的混合水溶液作为激发剂。在铁化合物催化下,过氧化氢分解为氧气和水。

鲁米诺与氢氧化物反应生成了一个双负离子(Dianion),它可被过氧化氢分解出的氧气氧化,产物为一个有机过氧化物。该过氧化物很不稳定,立即分解出氧气,生成激发态的3-氨基邻苯二甲酸。激发态至基态转化中,释放的能量以光子的形式存在,波长位于可见光的蓝光部分。1滴血混在999滴水中时也可以被检验出来。不过它与其他具有氧化性的物质也发生反应,但是显示的颜色和显色的时间长短都是不同的。实验室中常以铁氰化钾作为催化剂铁的来源,而法医学上的催化剂则恰好是血红蛋白中的铁。很多生物系统中的酶也可催化过氧化氢的分解反应。

鲁米诺的实际应用

鲁米诺作为一种高效的化学发光试剂,凭借其高灵敏度和特异性,在多个领域发挥着重要作用。在刑事侦查中,它被广泛用于检测犯罪现场的血迹,即使经过清洗或时间久远,微量的血液仍能在它的作用下发出蓝光,帮助警方还原案件关键证据。在医学检测方面,鲁米诺被用于化学发光免疫分析,通过标记抗体或抗原,精准检测疾病标志物。此外,在环境监测中,鲁米诺可用于检测工业废水中的重金属和消毒剂残留,保障水质安全。尽管可能受某些氧化剂干扰,但鲁米诺凭借其快速、灵敏的特性,仍然是法医学、生物检测和化学分析中不可或缺的重要工具。

鲁米诺试剂的缺陷

使用鲁米诺试剂用于证据检测时,确实存在一些不利因素。

1. 反应持续时间和可见性:鲁米诺试剂的化学发光反应确实只持续很短的时间,通常在30秒到1分钟左右。在这段时间内,发光只能在光线较暗或完全黑暗的环境中观察到。犯罪现场调查员和法医专家需接受充分的培训,才能够迅速高效地捕捉到这种反应。

2. 可能对证据造成损害:过度使用鲁米诺试剂可能会对犯罪现场周围的其他证据造成损害或污染,因需谨慎使用。如果现场可见血迹,应当将其保存、适当包装,并直接送往法医实验室进行分析。如果没有看到明显的血迹,则应咨询法医来确定是否适合进行鲁米诺发光测试。

3. 对多种物质都反应:鲁米诺试剂的灵敏度不仅限于血液,它还会与其他物质如唾液、锈迹、动物蛋白和植物酶等发生反应。因此,仅进行鲁米诺测试不足以确凿地证明血迹的存在。通过鲁米诺试剂发现的疑似血液的证据不能在法庭上作为确凿证据呈现。

总体而言,虽然荧光素在犯罪现场调查中是一个有用的工具,但它并不是唯一的证据收集方法。在实际应用中,需要综合运用其他科学技术和调查手段来获取更全面和可靠的证据,以支持犯罪调查和法庭审判。

小结

鲁米诺实验所呈现的化学发光现象,生动展示了氧化还原反应与能量释放的微观过程。其高灵敏度的特性,使它在刑事侦查、生物检测及环境监测等领域具有不可替代的应用价值。未来,随着分析技术的进步,鲁米诺及其衍生物或将在更广泛的领域发挥作用。科学探索永无止境,期待这一经典的化学发光体系能持续为科研与应用提供新的可能。

【免责声明】发布内容来源于互联网、业内人士投稿以及微信公众号等公开资源,我们对文中观点持中立态度,文中观点不代表本平台的立场。所有文章仅供读者参考和交流使用。转载的文章版权归原作者所有,如有侵权行为,请及时与我们联系以便删除。

<END>