接口广告
摩熵化学
数据开放平台 数据库官网
小程序
打开微信扫一扫
首页 分子通 化学资讯 化学百科 反应查询 关于我们
请输入关键词

【JACS】美国普林斯顿大学MacMillan课题组JACS:光镍协同催化脱氧C(sp3)−N(sp3)交叉偶联

  • 普林斯顿大学
  • MacMillan课题组
  • 金属光氧化还原催化
超分子光化学与自组装 2025/10/16

在当代有机化学领域,富含sp3杂化骨架的分子结构是重要的合成目标,这得益于其优良的药理学特性及较高的临床成功率。其中,含C(sp3)−N(sp3)键的叔胺尤其受关注—近期美国食品药品监督管理局(FDA)批准的药物中,超过80%含有至少一个饱和氮杂环,而近半数氮杂环为全饱和结构(图 1A)。典型实例包括哌啶、吡咯烷、哌嗪和吗啉,这些均属于现代治疗药物中十大最常见杂环结构,且在市售药物中,这些环系多以氮官能化形式存在。

氮杂环卡宾(NHC)前体近年来已成为温和、稳定的醇类原位活化剂,可实现多种脱氧型金属光氧化还原交叉偶联反应。在此研究框架下,作者近期报道了一种净氧化型、铜介导的醇与N(sp2)偶联伙伴的脱氧C−N偶联反应(图 1B)。然而,该反应条件对N(sp3)杂化的类似物无效。事实上,通过金属光氧化还原催化合成叔胺仍是合成化学领域长期存在的挑战,这在很大程度上源于两个基础性问题:

第一,构建C(sp3)−N(sp3)键所需的还原消除步骤本质上难以发生—这一方面是因为金属−氮键键能较高,另一方面是由于C(sp3)−N(sp3)还原消除需克服较高的重组能,从而产生较高的动力学能垒。目前,能通过高效C(sp3)−N(sp3)还原消除生成叔胺产物的案例十分有限。第二,叔胺的氧化电势相对较低(相对于饱和甘汞电极(SCE),Eₒₓ≈1.0 V),易被光催化剂氧化,进而导致产物抑制。氧化反应会生成氨基自由基阳离子,这类物种易发生分解,在碱性环境下尤为明显。现有成功策略要么采用较难发生还原猝灭的光催化剂(如十钨酸根阴离子),要么依靠快速反向电子转移以减少分解,且无需使用强碱。

作者通过开发新型金属光氧化还原体系解决这些局限性,该体系需既能促进C(sp3)−N(sp3)还原消除,又能减少胺产物的有害氧化(图 1C)。鉴于NHC−醇加合物的氧化电势温和(相对于SCE,Eₒₓ≈0.9 V),作者推测在适宜的氧化还原条件下,其氧化反应可能优先于叔胺产物的有害氧化。同时,进一步使用经还原活化的N(sp3)偶联伙伴,以避免采用会促进产物降解的净氧化条件。基于这些考量,作者确定N−羟基胺酯是易于获取的脂肪胺前体—其较弱的N−O键易被低价金属发生氧化加成。

在反应开发过程中,作者选择N-苄氧羰基-4-羟基哌啶与N-羟基吗啉酯作为模型底物。如图2所示,在镍金属光氧化还原条件下,加入市售氯化镍(II)催化剂、醇活化剂、氮杂环卡宾-1(NHC-1)、奎宁环碱以及体积比1:1的甲基叔丁基醚/甲醇(MTBE/MeOH)溶剂,可生成目标C(sp3)−N(sp3)偶联产物。在所考察的羟基胺酯中,新戊酸酯的反应效果优于苯甲酰酯、乙酰酯及金刚烷甲酸酯。

本研究优化过程的关键在于筛选不同辅助配体,以促进具有挑战性的C(sp3)−N(sp3)还原消除反应。值得注意的是,二-叔丁基联吡啶(dtbbpy,镍金属光氧化还原催化中常用的配体)无法使反应生成产物。而增加联吡啶骨架2,2′位的空间位阻,能显著提高产率。基于这一趋势,作者考察了一系列具有空间位阻的6,6′-双烷基取代dtbbpy衍生物(图 2),其中6,6′-双(4,4-二甲基-4,5-二氢噁唑-2-基)-2,2′-联吡啶被证实是最优配体。本研究首次将该配体应用于交叉偶联反应。加入化学计量的邻苯二甲酰亚胺以防止镍氧化加成复合物分解后,目标偶联产物的产率优异(78%)。

将上述反应条件应用于电子中性的N(sp3)偶联伙伴时,效果欠佳。例如,相应哌啶产物的产率仅为26%(图2,条目 7)。进一步研究表明,对于缺乏诱导效应的胺类底物,竞争性的产物氧化是主要问题。通过调整反应条件—包括使用NHC-2作为醇活化剂、正丙醇作为共溶剂、丁二酰亚胺作为添加剂。目标产物的产率显著提升至68%。将优化后的条件应用于缺电子底物时,产率较初始条件略有下降(吗啉底物的产率从78% 降至73%)。

在获得优化反应条件后,作者建立了两套优化反应条件—条件A适用于缺电子胺类,条件B适用于电子中性胺类—随后对该转化反应的适用范围展开评估。首先考察的是醇类偶联部分:如图3所示,伯醇(1-2,产率分别为71%和64%)与仲醇(3-8,产率51%−74%)均能高效发生交叉偶联反应。对于含有烷基卤代物的醇类(这类官能团常对SN2反应及脱卤胺化策略构成挑战),在本反应条件下也具有良好耐受性(9-10,产率分别为51%和52%)。

此外,一系列含醛基、酮基的底物能顺利转化为脱氧胺化产物,且羰基位点未检测到副反应(11-14,产率51%−73%),这凸显出该方法与还原胺化、借氢反应策略的正交性。值得注意的是,多种含芳基卤代物的醇类均能参与该转化反应,且产率良好至优异(15-20,产率55%−75%),未观察到催化剂对Ar−X键发生氧化加成的迹象,这表明催化剂的亲核性有所减弱,且更倾向于对键能更弱的N−O键进行氧化加成。

最后,作者考察了含药用相关杂环的醇类:吡嗪类醇(21,产率54%)、吡啶类醇(22-23,产率分别为66%和62%)及三嗪类醇(24,产率67%)均成功实现偶联。此外,含吡嗪-吡唑双杂环骨架的醇类也能转化为相应叔胺,且产率具有合成应用价值(25,产率 44%)。

接下来,作者将研究重点转向胺类偶联部分:如图4所示,多种N-羟基胺酯均可高效发生交叉偶联反应。开链仲N-羟基胺(26-28、34、35,产率51%−69%)反应顺利。此外,由氮杂环丁烷(36,产率63%)、吡咯烷(29和40,产率均为51%)、哌嗪(30、31、39,产率54%−60%)、哌啶(32、33、38,产率60%−72%)及螺环胺(37,产率72%)衍生的胺类也能成功参与反应。值得注意的是,该底物范围涵盖了近期FDA批准药物中十大最常见氮杂环里的所有饱和环系。另外,喹啉衍生胺(41)也能生成目标产物,且产率具有合成应用价值(46%)。

为体现该转化反应的温和性及官能团耐受性,作者将此方法应用于多种药物化合物及其衍生物。通过交叉偶联反应,成功合成了非布司他(Febuxostat)的胺化类似物(42,产率54%)、阿伐那非(Avanafil)的胺化类似物(43,产率50%)及RU-58841的胺化类似物(44,产率64%),且均获得良好产率。此外,由氟西汀(Fluoxetine)衍生的复杂N-羟基胺酯(45,产率69%)和由多潘立酮(Domperidone)前体衍生的复杂N-羟基胺酯(46,产率89%)也能高效生成目标产物,且产率优异。最后,通过对含酮基的洛索洛芬(Loxoprofen)衍生物进行一步衍生化,成功高效合成了小型胺化类似物库(47-50,产率59%−81%)。

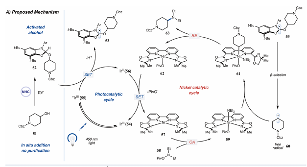
脱氧型C−N交叉偶联反应的可能机理如图5A所示:醇首先与氮杂环卡宾(NHC)盐反应生成相应加合物52。蓝光照射下,激发态铱光催化剂55被加合物52选择性还原猝灭,生成还原态光催化剂56与NHC−醇自由基阳离子,该中间体随后去质子化得到自由基53,后者经易发生的β-断裂反应生成碳中心自由基60。与此同时,Ni(0)物种57与N-羟基胺酯 58的N−O键发生氧化加成,得到Ni(II)复合物59,该复合物捕获碳中心自由基60形成Ni(III)物种61,Ni(III)物种61发生还原消除生成C−N交叉偶联产物63与还原态Ni(I)复合物62,还原态铱光催化剂56介导Ni(I)复合物62发生单电子还原生成Ni(0),从而闭合两个催化循环。

为初步验证所提机理合理性并深入理解易氧化叔胺产物的良好耐受性,作者开展了包括化学计量研究、斯特恩−沃尔默(Stern−Volmer)淬灭实验/电化学分析及计算研究在内的一系列实验。首先,通过Ni(COD)2(1,5-环辛二烯合镍)独立合成了所推测的Ni(II)氧化加成复合物,经核磁共振(NMR)光谱表征(图5B)后,将其置于化学计量反应条件下可生成预期的C−N偶联产物,证明催化循环中存在Ni(II)中间体;为探究反应优先氧化NHC−加合物、而非叔胺产物发生有害氧化分解的原因,作者进行了循环伏安法研究,结果显示NHC−醇加合物与C−N偶联产物的氧化电势仅存在微小差异(图5D),说明激发态光催化剂对这两种物种的氧化在热力学上均有利,而反应时间进程研究进一步证实氧化选择性源于动力学控制而非热力学控制(延长照射时间会导致产物最终被消耗)。

为更深入理解NHC−醇加合物相对叔胺产物的选择性氧化,作者通过斯特恩−沃尔默淬灭实验,对比了在条件A(甲醇:甲基叔丁基醚=1:1)和条件B(正丙醇:甲基叔丁基醚=1:1)所用溶剂体系中光催化剂介导氧化反应的相对速率(图5E),发现条件A下电子中性胺的电子转移速率与NHC−醇加合物相当,而缺电子胺的电子转移速率慢于NHC−醇加合物(使偶联反应能优先于产物氧化发生),将共溶剂由甲醇换为正丙醇的条件B则会抑制电子中性胺相对于NHC−醇加合物的氧化(这一现象可通过胺自由基阳离子对溶剂化更敏感来解释,因其共轭程度低于相应的 NHC−醇自由基阳离子,故介电常数更低的溶剂体系更有利于NHC−醇加合物的选择性氧化)。最后,含富电子对甲氧基苯基的NHC-2−醇加合物比NHC-1−醇加合物更易被氧化,进一步提升了反应选择性。

文章总结

在此,作者报道了一种镍金属光氧化还原反应平台,可实现脂肪醇与N-羟基胺酯的交叉偶联。该平台通过N-自由基捕获过程,借助一种特定设计的、具有空间位阻的镍双噁唑𬭩联吡啶催化剂,成功推动了具有挑战性的C(sp3)−N(sp3)还原消除步骤。该方法能在温和的光氧化还原条件下,广泛合成对氧化剂敏感的叔胺,且具有优异的官能团耐受性。机理研究表明,反应活性通过动力学偏向性实现,这既体现了氮杂环卡宾(NHC)活化所具备的温和条件,也提供了一种规避产物抑制的替代策略—产物抑制是光氧化还原催化中常见的挑战,该策略对其他转化反应也可能具有参考意义。

文章信息

Deoxygenative C(sp3)–N(sp3) Cross-Coupling Enabled by Nickel Metallaphotoredox Catalysis

Ruizhe Chen, Taehyun Kim, Noah B. Bissonnette, Robert T. Martin, Joseph R. Martinelli, Albert Cabré, and David W. C. MacMillan*

J. Am. Chem. Soc. 2025, DOI: 10.1021/jacs.5c10915

【免责声明】发布内容来源于互联网、业内人士投稿以及微信公众号等公开资源,我们对文中观点持中立态度,文中观点不代表本平台的立场。所有文章仅供读者参考和交流使用。转载的文章版权归原作者所有,如有侵权行为,请及时与我们联系以便删除。

<END>