接口广告
摩熵化学
数据开放平台 数据库官网
小程序
打开微信扫一扫
首页 分子通 化学资讯 化学百科 反应查询 关于我们
请输入关键词

【JACS】基于自由基介导脱氧磷酰胺化策略的新型抗病毒药物合成与开发

  • 兰州大学
  • JACS
  • 兰州兽医研究所
  • 肖书奇
研成之理 2025/09/26

近日,学院肖书奇教授团队在国际知名期刊《Journal of the American Chemical Society》发表题为“Targeted Synthesis and Development of Neotype Antiviral Agents with a Radical-Mediated Deoxyphosphoamination Strategy”的研究论文,运用自由基介导脱氧磷酰胺化策略靶向合成并开发了一系列新型抗病毒药物,在探究脱氧转化机理的同时阐明了合成化合物N-(2-(二苯基磷酰基)-1H-茚-3-基)-P,P-二苯基次膦酰胺(IDPA)抗PRRSV的具体机制,为抗病毒药物设计提供了新思路和新工具,也展示了自由基化学在药物开发中的应用潜力。

病毒感染的持续威胁对全球公共卫生和畜牧业经济构成严峻挑战。猪繁殖与呼吸综合征病毒 (PRRSV)、猪流行性腹泻病毒 (PEDV)、H1N1猪流感病毒 (H1N1)等病原体不仅造成巨大经济损失,还可能导致人畜共患病风险。传统抗病毒药物开发面临病毒突变、耐药性以及现有候选化合物化学多样性有限等瓶颈问题。该团队在前期筛选中,发现N-(2-(二苯基磷酰基)-1H-茚-3-基)-P,P-二苯基次膦酰胺 (IDPA) 具有潜在抗病毒活性,但传统合成方法步骤繁琐、效率低下,严重制约了结构优化和生物活性研究。含氧化合物的脱氧功能化为解决这一挑战提供了新思路,但现有方法通常依赖金属催化剂或昂贵试剂,在生物体系中的应用受到限制。

基于以上研究现状及面临的问题,肖书奇教授课题组报道了一种无金属、无光、无电的策略,通过简单的缩合反应结合自由基介导的级联反应,实现酮类化合物向脱氧磷酰氨基化产物的直接转化。该反应以由茚酮和羟胺衍生的酮肟为起点,经过一系列氧化、偶联及与膦氧化物的自由基加成过程,膦氧化物在其中兼具脱氧和双膦酰化试剂的作用,在温和条件下以良好至优异的产率获得 IDPA 及其同系物。

研究内容

肖书奇课题组通过对反应物的当量、氧化剂、溶剂、温度等做了大量的筛选,最终,在DTBP作为氧化剂,DMF作为溶剂,120℃,醋酸条件以85%的高产率得到预期的化合物IDPA。同时,在碱性条件(DBU)下,以86%的产率选择性的获得单磷酰化的产物。接着,在最优条件下,进行了底物适用性研究。结果显示此反应具有广泛的适用性:(1)五元至七元苯并环酮肟均适用;(2)耐受吸电子(三氟甲基、氰基、卤素)和给电子基团(甲氧基);(3)杂环酮肟如苯并呋喃、吲哚等也能顺利转化;(4)多种膦氧化物(芳基、烷基)兼容。特别重要的是,该方法可放大至克级规模(67%收率),展示了合成实用性。

反应机理研究

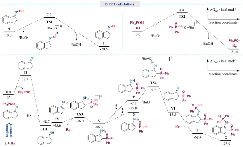
通过控制实验、自由捕获实验、HRMS追踪实验以及DFT计算等手段,揭示了反应可能的具体历程:首先,在自由基引发剂过氧化二叔丁基(DTBP)的作用下,肟酮和膦氧经历 C–H 和 P–H 的均裂,生成含氧自由基 I 和含磷自由基 RP。这两个自由基迅速偶联,形成磷酰化肟酮中间体 1′。在加热条件下,该中间体 1′ 发生均裂,生成亚胺酰自由基物种(RN1,II),随后经氢化与异构化生成 1H-茚-3-胺(IV)。接下来,RP 发生自由基加成,继而经脱氢消除,得到单磷酰化产物 3 和 3′。中间体 3′ 进一步氧化,生成第二个亚胺酰自由基(RN2,VI),该自由基与 RP 偶联并经异构化,最终得到双磷酰化产物 2。综上,这些实验与计算结果强有力地证明了该反应经历逐步的自由基驱动机理,涉及单磷酰化和双磷酰化两个不同过程,为其转化路径提供了重要的机理见解。

机理研究表明,包括对照实验、自由基抑制实验、中间体的高分辨质谱(HRMS)检测以及密度泛函理论(DFT)计算在内的结果,均支持一个涉及氮、氧、磷中心自由基物种的协同自由基机制。此外,所合成的 IDPA 类似物表现出对 PRRSV 的强效抗病毒活性,具有良好的安全性和广谱潜力。进一步的生物学研究,包括抗病毒评价、基于骨架的功能映射以及蛋白质组学分析,被用于阐明其分子作用机制。

IDPA及其衍生物的抗病毒活性研究

A. 抗PRRSV活性检测

在抗病毒活性评价中,IDPA及其类似物表现出显著的抗PRRSV活性并且化合物21、26、28与IDPA的抗PRRSV活性相当。结构-活性关系解析显示:双磷酰结构对活性至关重要,电子给体取代增强抗PRRSV效果。

B. 抗PRRSV机制解析

通过Western Blotting实验、分子对接以及蛋白组学分析等深入解析了IDPA抗PRRSV的具体机制:IDPA通过下调病毒受体蛋白CD163和宿主蛋白HSP70进而抑制PRRSV复制,分子对接显示其与CD163 (-5.9 kcal/mol)和HSP70 (-5.3 kcal/mol)有良好结合。

C. 细胞耐受性以及广谱抗病毒活性检测

通过CCK-8法检测IDPA的细胞耐受性,同时检测其抗PRRSV、CSFV、PCV2、PEDV、H1N1等病毒的抑制效果,得知IDPA在10 μM浓度下对多种细胞系无毒性,并展现广谱抗病毒活性,可有效抑制PRRSV、CSFV、PCV2、PEDV、H1N1等病毒基因表达和蛋白合成。

结论

作者开发了一种自由基介导的酮类脱氧磷酰氨化策略,能够在温和且操作简便的条件下高效合成一类新型抗病毒化合物。代表性化合物IDPA及其类似物表现出强效且广谱的抗病毒活性,并且细胞毒性极低。机理研究表明,该反应经历了一条独特的协同自由基途径,涉及氮、氧和磷中心物种,实现了选择性的 N–O 键断裂以及多个化学键的形成。蛋白质组学分析、分子对接和生物学验证进一步阐明了 IDPA 的抗病毒机制,尤其是针对PRRSV,其通过干扰宿主–病毒相互作用并抑制病毒复制发挥作用。本研究不仅提出了一种新颖的脱氧官能化策略,同时建立了一条合理途径来获取结构独特、具有潜在治疗前景的抗病毒分子。

【免责声明】发布内容来源于互联网、业内人士投稿以及微信公众号等公开资源,我们对文中观点持中立态度,文中观点不代表本平台的立场。所有文章仅供读者参考和交流使用。转载的文章版权归原作者所有,如有侵权行为,请及时与我们联系以便删除。

<END>